Send
Close Add comments:
(status displays here)
Got it! This site "creationpie.org" uses cookies. You consent to this by clicking on "Got it!" or by continuing to use this website. Note: This appears on each machine/browser from which this site is accessed.
Logical implications of inerrency
1. Logical implications of inerrency
This content is being developed.
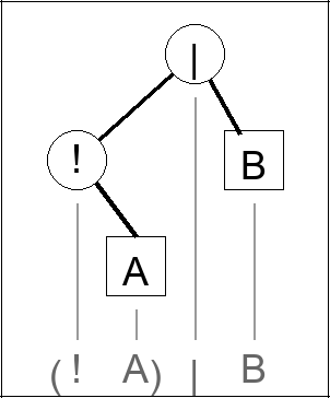
2. Sixteen binary logical operations
There are only
16 binary (two operand) logical operations. These can be enumerated. Here this is done in groups.
Each binary operation is of the form
A op B where both
A and
B have the values of
0 (
false) or
1 (
true).
| A |
op |
B |
| 0 |
? |
0 |
| 1 |
? |
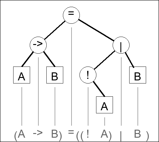
0 |
| 0 |
? |
1 |
| 1 |
? |
0 |
The result of the operation is under the
op symbol. There are
16 such operations.
3. Logical constants
Some operations always return one value,
true or
false.
Such values are called
constants because they never change.
4. Logical values and negation
Some operations return one of the two values or the negation of one of the two values.
Negative operations mirror the positive operations since one could define everything in an opposite sense in which case the logic flips.
[type 1 and type 2 errors in statistics]
5. Logical conjunction and disjunction
Some operations are conjunction or disjunction, or the negation of those.
A computer consists of switches. The
NOT AND operation is sometimes called
NAND and a computer can be constructed of
NAND gates.
[Shannon, computers]
6. Conjunction
The
conjunction or
intersection of
A & B or
A and B is
true=
1 if
both of
A and
B are true=
1, else the result is
false=
0.
7. Conjunction
The word "
and" is a conjunction in that both parts (on either side) are needed.
Example: You need to buy milk
and cookies at the store.
Distribute as follows.
You need to buy milk at the store and
you need to buy cookies at the store.
You need to do both.
8. Sets and Venn diagram
Logical
conjunction (i.e., "
And", "
&", etc.) is related to the
intersection operation of sets.
Here is a mathematical definition of set intersection.

Note how the set intersection operator "
∩" and the logical conjunction symbol "
∧" are related. They are wide at the bottom and narrow/close at the top. This did not just happen. They are related.
9. Conjunction of constraints
A = bird (1)
B = virgins (2 groups)
C = servants (3)
D = (sheep and) goats (4 criteria)
E = life (eternal)
The parable of the sheep and goats appears to be the last and final division/constraint.
10. Matthew 19:29 Disjunction
Matthew 19:29 And every one that hath forsaken houses, or brethren, or sisters, or father, or mother, or wife, or children, or lands, for my name's sake, shall receive an hundredfold, and shall inherit everlasting life. [kjv]
και πας οστις αφηκεν οικιας η αδελφους η αδελφας η πατερα η μητερα η τεκνα η αγρους ενεκεν του εμου ονοματος πολλαπλασιονα λημψεται και ζωην αιωνιον κληρονομησει [gnt]
A
logical disjunction is an
inclusive "or" that is
true if any or all of the arguments are
true. A
natural language disjunction is an
exclusive "or" and expects only one argument to be
true.
The TR (Textus Receptus) adds "or" "wife" which appears to break the model. What about a "wife" leaving her "husband"?
Does this only apply to these "twelve" "disciples" who will become known as the "apostles"? What about Judas?
It appears that there are so many criteria in this disjunction that it is vacuously (i.e., almost certainly) true.
11. Disjunction of constraints
A
logical disjunction of constraints is true if any argument is true. The
"or" operator is sometimes written using the vertical bar
"|".
"houses"
or "brothers"
or "sisters"
or "father"
or "mother"
or "children"
or "lands"
12. Logical equality and inequality
Some operations return equality or the negation of equality which is inequality.
The inequality operation is sometimes called the
exclusive or operation with abbreviation
XOR (Exclusive Or). The cryptography (symmetric encryption) of the world is based on the
exclusive or operation.
There are technology implications of security, one time pads, public and private keys, etc., with the buying and selling and the number and name of the beast in Revelation.
 |
Details are left as a future topic.
|
13. Equivocation deception between names and meanings
Philippians 2:6 Who, being in the form of God, thought it not robbery to be equal with God: [kjv]
ος εν μορφη θεου υπαρχων ουχ αρπαγμον ηγησατο το ειναι ισα θεω [gnt]
… cum … forma … rapinam … aequalem … [v]
2:9 Wherefore God also hath highly exalted him, and given him a name which is above every name: [kjv]
διο και ο θεος αυτον υπερυψωσεν και εχαρισατο αυτω το ονομα το υπερ παν ονομα [gnt]
An
"equivocation" is done when two
"names" are made to be
"equal" whereas the corresponding "
things" or "
meanings" are
not "equal". The English word
"equivocate" is from the late Latin word
"aequivoco" ≈ "call or name in the same way".
In Greek, if the context does not make it clear that two things are
"equal" using "
is", then the explicit Greek word
"ισα" ≈ "equal" is needed, as in the above verse.
14. Blood shed for you
Matthew 26:28 For this is my blood of the new testament, which is shed for many for the remission of sins. [kjv]
τουτο γαρ εστιν το αιμα μου της διαθηκης το περι πολλων εκχυννομενον εις αφεσιν αμαρτιων [gnt]
Mark 14:24 And he said unto them, This is my blood of the new testament, which is shed for many. [kjv]
και ειπεν αυτοις τουτο εστιν το αιμα μου της διαθηκης το εκχυννομενον υπερ πολλων [gnt]
Luke 22:20 Likewise also the cup after supper, saying, This cup is the new testament in my blood, which is shed for you. [kjv]
και το ποτηριον ωσαυτως μετα το δειπνησαι λεγων τουτο το ποτηριον η καινη διαθηκη εν τω αιματι μου το υπερ υμων εκχυννομενον [gnt]
In Greek, if the context does not make it clear that two things are
"equal" using
"is", then the explicit ancient Greek word
"ισα" ≈ "equal" is needed. This word is
not in the above verse. The word
"is" is not in Luke.
Does the
context of these statements at the Last Supper using
"is" constitute
equality, as in
transubstantiation? Is an explicit
"equals" in Greek needed? Luke does not have an
"is" for the "
blood" but is more indirect.
[Calvinist interpretation]
15. Matthew 20:12 Inequality
Matthew 20:12 Saying, These last have wrought but one hour, and thou hast made them equal unto us, which have borne the burden and heat of the day. [kjv]
λεγοντες ουτοι οι εσχατοι μιαν ωραν εποιησαν και ισους αυτους ημιν εποιησας τοις βαστασασιν το βαρος της ημερας και τον καυσωνα [gnt]
There appears to be
no discussion on those hired at the other hours, just the "
last" "
hour".
The
"first" have direct knowledge of the
"last".
The ancient Greek word
"ισα" ≈ "equal" and is used when the context does not show exactly that what being compared is
equal.
The reason for noting
"equality" on "
inequality" is to "
measure" in order to determine who is "
greater".
16. Logical implication
Some operations are implication or the negation of implication.
This operation his
implications with
inerrency as it relates to the Bible.
Philosophers will use the name
modus ponens for this logical operation. If both A and B are replaced by their negation, the result is
modus tollens.
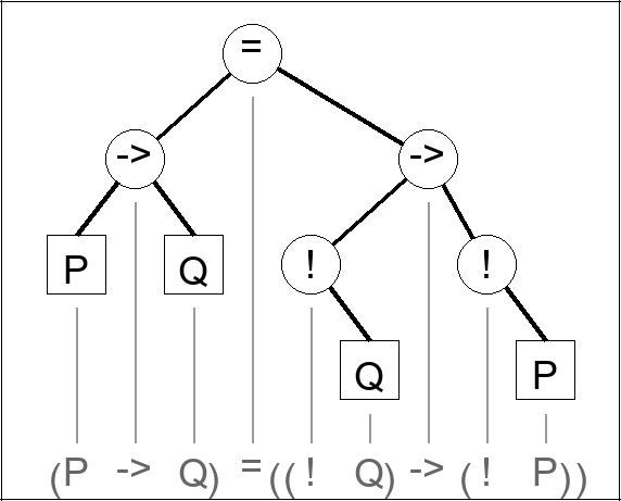
17. Modus ponens
18. Modus tollens
The Latin phrase
"modus tollendo tollens" ≈ "the mode where the denying denies".
The Latin word "modus" ≈ "mode".
The Latin word "tollo" ≈ "I take away".
The propositional logic rule
modes tollens is as follows (for philosophers).
1. If P then Q (implication).
2. Not Q.
3. Therefore, not P.
|
Modus ponens
|
if P then Q
|
Modus tollens
|
if not Q then not P
|
A truth table proof makes this more evident.
The term "
modus tolens", Latin for "
mode that by denying denies" was named and formalized in the 1830's in a translation by F. Haywood. It is a deductive logical argument. An ancient argument using this reasoning goes back to Theophrastus.
DeMorgan's laws were formulated in the late 1800's.
19. Modus ponens and modus tollens
 |
P Q | ( P -> Q ) = ( ( ! Q ) -> ( ! P ) )
-----------------------------------------
0 0 | ( 0 1 0 ) 1 ( ( 1 0 ) 1 ( 1 0 ) )
0 1 | ( 0 1 1 ) 1 ( ( 0 1 ) 1 ( 1 0 ) )
1 0 | ( 1 0 0 ) 1 ( ( 1 0 ) 0 ( 0 1 ) )
1 1 | ( 1 1 1 ) 1 ( ( 0 1 ) 1 ( 0 1 ) )
|
Here is an extended truth table proof that
modus ponens and
modus tollens are related such that when one holds the other holds (for the same logical variables).
That is
P implies Q
can be interchanged (i.e., is equivalent to)
(not Q) implies (not P).
To see this in the proof table, note that all values under the equal sign "
=" are
1 as
true.
20. Modus tollens
The propositional logic rule "
P implies Q" is equivalent to "
not Q implies not P". This rule is called
modus tollens. One can apply
modus tollens to what Jesus says in John. Let
P and
Q be the following.
P is "you follow Jesus".
Q is "the world hates you".
The following then follow. Assume that the
opposite of
"hate" is
"love" (as often appears in ancient Greek texts including the Bible; modern psychology tries to change this).
Define "world". Define "world" as the word is used by Jesus.
Modus ponens: If P: "you follow Jesus", then Q: "the world hates you".
Modus tollens: If not Q: "the world does not hate you" then not P: "you do not follow Jesus".
Modus tollens: If not Q: "the world loves you" then not P: "you do not follow Jesus".
21. Modus tollens
Consider the result:
Modus tollens: If "the world loves you" then "you do not follow Jesus".
Discuss:
Should you try to get the world to love (not hate) you?
Should you try to love the world?
Should you try to out-love the world? What does that mean?
If a statement is ambiguous (i.e., can be taken in more than one way), then is it a good idea to use such a statement as, for example, a vision statement?
Discuss: What does the above logic mean for the claim "
As followers of Jesus we will out-love the world"?
[peacemakers]
22. Sixteen binary logical operations
Here are the sixteen binary logical operations color-coded.
23. Binary logical operations build
24. Wittgenstein and logical operations
Here is the table from Wittgenstein's
Tractatus Logico-Philosophicus, 5.101. This is often cited as
TLP (Tractatus Logico-Philosophicus). He completed it in 1918 (as a Austrian soldier, artillery, Russian front, later Italian front, in World War I) and published it in 1921. An English translation and Latin title was published in 1922.
The German word "Falsch" ≈ "false" abbreviated as "F".
The German word "Wahr" ≈ "true" abbreviated as "W".
The German word "Nicht" ≈ "not".
I created my own table of these operations in graduate school. It was many years until I found out that it had been done long before.
25. Logical implications of inerrency
The
logical implication operation and associated expression tree and extended truth table are expressed as follows.
 |
 |
A B | A -> B
------------
0 0 | 0 1 0
0 1 | 0 1 1
1 0 | 1 0 0
1 1 | 1 1 1
|
The logical formula
A implies B is
true if
A is
false or if
A is
true and
B is
true.
Otherwise the implication is
false. Note:
0 is
false,
1 is
true.
The term
A is called the antecedent while
B is called the consequent.
There are other equivalent ways to express logical implication that are the basis of logic programming systems such as Prolog.
26. Logical implication
Logical implication tree, extended truth table, and set diagram:
The idea that A implies B means that B is at least as true as A.
27. Logical implication
|
Expression tree
|
Truth table
|
English
|
 |
A B | ( A -> B ) = ( ( ! A ) | B )
----------------------------------
0 0 | ( 0 1 0 ) 1 ( ( 1 0 ) 1 0 )
0 1 | ( 0 1 1 ) 1 ( ( 1 0 ) 1 1 )
1 0 | ( 1 0 0 ) 1 ( ( 0 1 ) 0 0 )
1 1 | ( 1 1 1 ) 1 ( ( 0 1 ) 1 1 )
|
|
28. The Bible as a reality system
The Bible is a reality system. The Bible is not a logical system.
At the reality level, one deals with probabilities and conditional probabilities.
29. Hebrew truth as reality
Genesis 2:3 And God blessed the seventh day, and sanctified it: because that in it he had rested from all his work which God created and made. [kjv]
… אלהים … בראאלהיםלעשות [he]
In Genesis 2:3, the end of the verse says that God rested from his work which "
God created and made". This is the basis for the Hebrew word for truth which, like the Greek word for truth, «
αλήθεια», has to do with the reality of our world.
The Hebrew word for truth, "
אמת" has the first letter of the Hebrew alphabet at the beginning, the middle letter near the middle, and the last letter at the end.
30. Acrostic
Taking the last letter of the three words as an acrostic, and making a new Hebrew word, one gets the Hebrew word "
אמת" which means "
truth".

If the first letter of the Hebrew word for truth is removed, the resulting word is "
dead" (noun) or "
dying" or "
diseased" (adjective).
31. Greek truth as reality
John 8:32 And ye shall know the truth, and the truth shall make you free. [kjv]
και γνωσεσθε την αληθειαν και η αληθεια ελευθερωσει υμας [gnt]

Jesus is the
"truth" as in the
"reality". The Greek word for
"truth" means, literally, "
not nothing" or "
not oblivion" or "
not forgotten". Thus,
"truth" is
"reality" and not logic nor opinion.
"ἀλήθεια" ≈ "truth, not a lie" as in "not oblivion" or "not hidden" or "not forgotten".
"λήθη" ≈ "oblivion, forgetfulness" as in "λήθαργος" ≈ "forgetful, lethargic".
32. Interpretations of reality to logical systems
A logical system can relate to reality if an interpretation is created from reality to the logical system.
At the logical level, one works with discrete values of
0 (
false) and
1 (
true).
Predictions can then be attempted using the logical system.
[philosophers, natural philosophers]
33. Model build
To discredit an opinion, one can find errors in the opinion. The same does not work well with a model. If a model does explain
all phenomena sufficiently well, one needs to find a better model that handles those phenomena.
In desperation, those tied to
opinion may question whether a model
exists to explain the phenomena (even when presented with a model).
Note that some, such as
flat earthers, may not accept any model but rely primarily on their
opinion.
Those who believes in a flat earth have nothing to fear but sphere itself!
34. Interpretations and models
Precisely defining models in logic can confuse some people.
Definition: An
interpretation of a
first order language L consists of the following.
a. A non-empty set D, called the domain of the
interpretation.
b. For each constant in L, the assignment of an element in D.
c. For each n-ary function in L, the assignment of a mapping form D
n to D.
d. For each n-ary predicate in L, the assignment of a mapping from D
n into { true , false } (or, equivalently, a relation in D
n).
[Aristotle quote]
35. Interpretations and models
Definition: Let I be an
interpretation of a
first order language L and let F be a closed formula of L. Then I is a
model for F if the truth value of F with respect to I is true.
Definition: Let T be a
first order theory and let L be the
language of T. A
model for T is an
interpretation for L which is a
model for each axiom of T.
Some precise ways of dealing with symbols, languages, interpretations, models, etc., can be found in the field of logic programming. The above definitions are on pages 12-13 of: Lloyd, J. (1984).
Foundations of logic programming. Berlin: Springer-Verlag. This book (about 125 pages) was used in a graduate computer science course in logic programming that I took years ago.
36. Force the Bible to be a logical system
Some will
force the Bible to be a logical system.
Discuss: Why might that be the case?
[flat earth, etc.]
Reality: data, probabilities, meanings
Logic: discrete logic, words
[Aristotle, deceptions]
37. Bible with many logical implications
The Bible will then have many logical implications.
An
inconsistent logical system will allow any proposition to be proven true and every proposition to be proven false. Thus, it is useless as a logical system.
[complete vs. consistent]
38. Bible implications shown as false
Showing any implication false makes the Bible false.
Note that this depends on the interpretation used. An adversary may create plausible or implausible interpretations.
120 year lifespan after the flood.
6 literal day creation, age of the universe
... more to be added ...
 |
Details are left as a future topic.
|
39. Showing a logical implication true
Showing a logical implication true (in some sense, such as plausible reasoning) does
not make the Bible true. It only addresses that particular implication.
Note the two
1 (
green ) values in column
B. This is showing the Bible truth
true (in some sense). Note the
1 (
blue) and
0 (
red) in column
A. Going right to left (converse fallacy), there is a
0 (
false) and
1 (
true) value in column
A.
This logical line of reasoning is a bottom-up approach that does a lot of unneeded and extra work and will not get one to where one wants to be - showing the Bible is true.
[top-down approach, John 1]
This is related to the
converse fallacy which is usually part of a reality system and involves probabilities and conditional probabilities.
40. Converse fallacy: If A then B does not mean If B then A
In the converse fallacy, valid reasoning of the type "
if A then B" is improperly reversed to be "
if B then A". This fallacy happens often in real life and is used in marketing, sales, politics, pastors, etc. Sometimes it is deliberate deception. Sometimes the person using it has deceived themselves. Aristotle points out this reasoning fallacy in his Sophistic Refutations.
Other names for this fallacy include "
hasty generalization", "
affirming the consequent", "
fallacy of accident". In this fallacy, what is "
necessary" is not "
sufficient".
41. Logical reasoning and reasoning fallacies
Let A =
rain, not A = no rain, B =
wet ground, not B =
dry ground.
true yes |
A implies B |
rain implies wet ground |
Implication Modus ponens Affirming the antecedent |
false no |
B implies A |
wet ground implies rain |
Converse error |
true yes |
not B implies not A |
dry ground implies no rain |
Contrapositive Modus tolens Denying the consequent |
false no |
not A implies not B |
no rain implies dry ground |
Fact check error |
Aristotle uses the rain and ground example in ancient times.
Judea Pearl uses the rain and ground example in modern times.
42. Aristotle: Sophistic Refutations
English: since it happens that the earth becomes drenched when it has rained, if it is drenched, we think that it has rained, though this is not necessarily true. (Loeb#400, p. 31)
Greek: καὶ ἐπεὶ συμβαίνει τὴν γῆν ὕσαντος γίνεσθαι διάβροχον, κἂν ᾖ διάβροχος, ὑπολαμβάνομεν ὗσαι. Τὸ δ´ οὐκ ἀναγκαῖον. Sophistic Refutations [167a]
English: any more than it follows that a man who is hot must be in a fever because a man who is in a fever is hot. (Loeb#400, p. 31)
Greek: γέγονεν, ὥσπερ οὐδ´ εἰ ὁ πυρέττων θερμός, καὶ τὸν θερμὸν ἀνάγκη πυρέττειν. Sophistic Refutations [167a]
Judea Pearl uses the same example about the rain and wet ground in his work.
43. Logical reasoning and reasoning fallacies
Can you see the
symmetry in the logical reasoning and reasoning fallacies?
If one is mistaken, then everything
true becomes
false and everything
false becomes
true .
44. Lies
There are a terrible lot of lies going about the world, and the worst of it is that half of them are true. Winston Churchill (British statesman)

How might one determine what is
true and what is
not true?
45. Logical reasoning and reasoning fallacies
Would anyone use the
contrapositive form to, perhaps, obscure what they are really saying? Might this allow you to use invalid logic to deceive or entrap yourself in what is said?
46. Matthew 24:21-24 Short day cutoff
Matthew 24:21 For then shall be great tribulation, such as was not since the beginning of the world to this time, no, nor ever shall be. [kjv]
24:22 And except those days should be shortened, there should no flesh be saved: but for the elect's sake those days shall be shortened. [kjv]
How could it be possible that no flesh would be saved? For 2000 years, since the time of Jesus, no one could understand how "
no flesh would be saved". Until 1945 (one
literal interpretation).
What is "great" and what is "tribulation"?
What does it mean for "days" to be "shortened"?
Why does "flesh" need to be "saved"? How is "flesh" "saved"?
Who are the "elect"? Are they good or not good.
Discuss: What has been the effect of social media, such as Facebook, on those who use it (or are addicted to it)?
47. Matthew 24:22 Variable operands and operators
Matthew 24:22 And except those days should be shortened, there should no flesh be saved: but for the elect's sake those days shall be shortened. [kjv]
και ει μη εκολοβωθησαν αι ημεραι εκειναι ουκ αν εσωθη πασα σαρξ δια δε τους εκλεκτους κολοβωθησονται αι ημεραι εκειναι [gnt]
| Variable operands for the verse |
| X |
εκολοβωθησαν αι ημεραι εκειναι |
those days be shortened |
| X |
κολοβωθησονται αι ημεραι εκειναι |
those days be shortened |
| Y |
εσωθη πασα σαρξ |
saved all flesh |
| E |
δια (τους) εκλεκτους |
by the elect |
| Connective operators for the verse |
| if not |
ει μη |
if not |
| if not |
ουκ αν |
if not |
| but by |
δια δε |
through but |
To support the idea of a
good "elect". the Greek for
"by" or
"through" was changed (reversed) to
"for".
48. Matthew 24:22 Abstracted logic
Matthew 24:22 And except those days should be shortened, there should no flesh be saved: but for the elect's sake those days shall be shortened. [kjv]
Let
X be "
those days/parts be shortened or cut off",
Y be "
flesh saved",
E be
"elect".
1. if not X then not Y but by E is X. (as stated, modus tollens)
2. if Y then X but by E is X. (modus ponens)
E is self-deceived (surrounding verses) and decides that Y needs to be achieved (equivocation on "flesh" and "saved") by doing X (converse fallacy).
3. if X then Y but (since) by E is X. (converse fallacy by E)
E (deceived) decides that X needs to be done to get Y and convinces others "in this way/manner" (surrounding verses).
4. if not Y then not X but (since) by E is X. (restated as fact check fallacy)
In three verses, Jesus will remind us that he had told us this before.
49. Matthew 24:22 Paraphrase
Matthew 24:22 And except those days should be shortened, there should no flesh be saved: but for the elect's sake those days shall be shortened. [kjv]
και ει μη εκολοβωθησαν αι ημεραι εκειναι ουκ αν εσωθη πασα σαρξ δια δε τους εκλεκτους κολοβωθησονται αι ημεραι εκειναι [gnt]
Paraphrase using the above logic:
And if those days [parts there yes] were not cut off (horns/rules removed) no flesh would be saved, but though the (deceived) elect's (false) ideas, those days [parts there yes] will be cut off (horns/rules removed) in order to (invalid logic) save all flesh.
Jesus wants to "cut off" certain unnecessary horns/rules/parts (yoke of compulsion) in order to "save" "all" "flesh" in a "heavenly" manner.
The (deceived) "elect" want to "cut off" all horns/rules/parts in the (false) idea that this will "save" "all" "flesh" in a "worldly" manner.
Discuss: Has it ever happened that
false teachers want to "
cut off"
all horns/rules/parts in order that
all "
flesh" might be "
saved"? Does it help fill the pews (or their own salary)?
50. Proverbs 3:5 Mammon
Proverbs 3:5 Trust in the LORD with all thine heart; and lean not unto thine own understanding. [kjv]
ισθι πεποιθως εν ολη καρδια επι θεω επι δε ση σοφια μη επαιρου [lxx]
The Greek word translated as "
trust" is that of "
persuasion" or "
belief", sometimes translated as "
faith". The
"your" is not in the
LXX (Septuagint). The
LXX uses the word "
God" rather than "
Lord".
Where the
KJV (King James Version), from the Hebrew, uses
"understanding", the
LXX uses the ancient Greek word
"σοφός" ≈ "clever, cunning" and is often translated as the English word
"wise". Jesus does not use the word
"wise" in a
good sense.
LXX:
... but on your cleverness/cunning (do) not lift up.
Is using (valid) logical reasoning lifting up your own clever/cunning wisdom?
Is using your own opinion lifting up your own clever/cunning wisdom?
Does Jesus ever use (valid) logical reasoning?
As such, Proverbs 3:5 appears to address part of the expanded idea of
"mammon".
51. Logical reasoning and reasoning fallacies
Common response to pointing out logic used by Jesus:
Jesus would not use logic that people do not understand. What is the alternative to using logic?
The alternative is for everyone the use their own personal (or empty) opinion to decide what Jesus has said. Sometimes it is someone else's personal opinion in which case Jesus has been betrayed by being traditioned.
52. Logical reasoning and reasoning fallacies
Implication: The Bible says there was a worldwide flood.
Contrapositive: If there was not a worldwide flood, the Bible is not true (with respect to the flood).
Converse error: Showing there was a worldwide flood makes the Bible true (with respect to the flood).
Fact check error: Showing there was not a worldwide flood (error in the Bible) means the Bible is not true (with respect to the flood).
[logical truth, reality truth, opinion truth, models, interpretations]
53. Common translation error witness encounter

Here is a very common pattern that A might encounter when witnessing about the Bible "
truth" to B who considers them-self a faithful believer of the Bible.
A to B: There are many translation errors in the Bible.
B: (emphatically with righteous indignation and possibly some anger): Are you saying the Bible is not true? Another reaction is: If I can't trust the Bible, what can I trust?
From this interaction, one can conclude the following about B (who is usually well-meaning).
B does not understand the meaning of "truth" (both secular "truth" and Bible "truth").
B does not have a good understanding of "logic".
B thinks that he/she understands both "truth" and "logic".
One conclusion: B is using their own opinion, in the guise of logical reasoning, to promote their belief to others.
One goal of this content is to go through the logic and reasoning needed to put faithful belief in the Bible on a logical and rational foundation - rather than on an opinion foundation posing as logic and reason.
54. Bible as a reality system
The Bible is not a logical system. The Bible is a reality system.
There are many inconsistencies in the Bible. There are many mistranslations in the Bible.
Show me an important inconsistency. Why does it matter?
Show me an important mistranslation. Why does it matter?
The Bible text is a spread-spectrum, fault tolerant, error-correcting system. One must use prudence in determining the message of the Bible.
55. 2 Timothy 3:16-17 God-breathed writings
2 Timothy 3:16 All scripture is given by inspiration of God, and is profitable for doctrine, for reproof, for correction, for instruction in righteousness: [kjv]
3:17 That the man of God may be perfect, throughly furnished unto all good works. [kjv]
As an informal mathematical proof resulting in a
complete or
even result, consider the following paraphrase.
Paraphrase: For all writings such that that writing is God-breathed, that writing is helpful for ... such that the man of God is complete/even, ready to accomplish any good work.
One common thread in the laundry list of
sins of the last days appears to be that of a breakdown in relationships within the body of believers.
56. Versed in magical attention
To pull a rabbit out of the hat, the magician must deceive the eye and the mind in order to put the rabbit into the hat.
There are many ways to divert the attention of those in the audience in order to accomplish this trick of deception.
Some pastors will do this by focusing attention on part of a verse (e.g., details of the original Greek) to draw attention away from other parts of that verse or nearby verses. Some pastors will make a stupid joke to get the audience to laugh and then quickly skip over a verse that does not agree with their political or social change leanings.
When one starts to look at the entire context of the verses, things may not look as clear as portrayed.
57. Inerrancy progression
Two people can see the same thing in different ways. Sometimes both are true in some sense.
Jesus say he is the
way,
truth (reality) and the
life.
58. Errors
Have you ever heard about "
changing" the "
error of your ways"? An
error and a
change are both defined as a difference between the observed behavior and the expected or desired behavior. A
change is often separated into two parts:
remove/
delete and
insert/
add. Given two texts, a
LCS (Longest Common Subsequence) algorithm can find the
MED (Minimum Edit Distance) (dual algorithms).
A
warning is similar to an error except that it is not considered as important an issue as an error.
To identify an error requires a
specification and one should not use the operational code as a specification.
Inerrancy reasoning fallacy:
You cannot know that the Bible has an error unless you know what the Bible is supposed to say.
59. Email analogy
Suppose an email message (Bible) arrives that claims to be from your boss (God).
You find some spelling and grammer errers, but can still understand the message. Due to inerrancy considerations, you might reason as follows.
The boss made a mistake. I can ignore the message.
Someone must have changed the message but the original was inerrant.
Does it matter?
The message tells me about things that only the boss (God) knows. (authentication code)
Is the authentication more important than any spelling or grammar mistakes in the message?
Discuss: Why do some people spend more time arguing about spelling and grammer errers and fixing them than in actually doing what the message says to do?
[spoofing, man in the middle attack, Shannon, Hamming]
60. Group deception method
Here is one way to create a movement based on deception, including deceptive movements based on the Bible.
1. Decide on an idea or message, with a vision, that can be promoted to the crowd of humanity.
2. Attract a following using that idea. Write books, sell merchandise, etc. Promise rewards to all followers.
3. Recruit leaders who can influence others. Use as motivation various rewards.
There are regular meetings of this society to encourage the faithful and convince them that any attack on the message is an attack on the whole movement and that they need to defend that message at all costs.
The worldly existence of both the top leader and the leaders under the top leader depend on this deception.
61. Animal model
Let us use an
animal and
body part model for this group deception method.
The "birds" or "eye" decide on an idea for the deception. They may actually believe the deception. Rather than put the ideas up for objective measure, they hold up their opinion, sometimes with faulty logic or without a basis in reality, for all in their house audience to see.
Many "fish" or "feet", as in the sea of humanity, are attracted to this false light and group together, as in a city on a mountain (empire, idea, set of definitions).
Some "pigs" or "hands" are recruited to be leaders and influence others and keep the "fish" in line according to the desires of the main "bird". If leadership and influence does not work, the "pigs" are ready to trample any who get in the way and put them in their place.
62. Salt of the earth verses
sheep
 |
Matthew 5:16 Let your light so shine before men, that they may see your good works, and glorify your Father which is in heaven. [kjv]
|
birds
 |
5:15 Neither do men light a candle, and put it under a bushel, but on a candlestick; and it giveth light unto all that are in the house. [kjv]
|
fish
 |
5:14 Ye are the light of the world. A city that is set on an hill cannot be hid. [kjv]
|
pigs
 |
5:13 Ye are the salt of the earth: but if the salt have lost his savour, wherewith shall it be salted? it is thenceforth good for nothing, but to be cast out, and to be trodden under foot of men. [kjv]
|

These ideas will be in the summary of the houses built on rock and sand at the end of the Sermon on the Mount.
Words in these verses may be
code words, have
double meanings, be
play on words, etc. The Greek words may have been changed (mistranslated), omitted, etc. [top-down view]
... more to be added ...
63. End of page