Send
Close Add comments:
(status displays here)
Got it! This site "creationpie.org" uses cookies. You consent to this by clicking on "Got it!" or by continuing to use this website. Note: This appears on each machine/browser from which this site is accessed.
Converse fallacy: If A then B does not mean If B then A
1. Converse fallacy: If A then B does not mean If B then A
In the converse fallacy, valid reasoning of the type "
if A then B" is improperly reversed to be "
if B then A". This fallacy happens often in real life and is used in marketing, sales, politics, pastors, etc. Sometimes it is deliberate deception. Sometimes the person using it has deceived themselves. Aristotle points out this reasoning fallacy in his Sophistic Refutations.
Other names for this fallacy include "
hasty generalization", "
affirming the consequent", "
fallacy of accident". In this fallacy, what is "
necessary" is not "
sufficient".
2. Sophistic refutations
Aristotle wrote a book called
On Sophistic Refutations in which he detailed the "
false reasoning" used by Sophists (from the Greek word for "
wisdom") who would use invalid logic to convince others of ideas to make money for themselves. In English, "
sophistic" logic or "
false reasoning" is "
sophistry".
One of the many types of invalid logic detailed by Aristotle was "
eristic" reasoning. Paul uses that word often but it is often translated, without the "
bad logic" connection, as "
strife"
3. Aristotle: Sophistic Refutations
English: The refutation connected with the consequent is due to the idea that consequence is convertible. (Loeb#400, p. 31)
Greek: Ὁ δὲ παρὰ τὸ ἑπόμενον ἔλεγχος διὰ τὸ οἴεσθαι ἀντιστρέφειν τὴν ἀκολούθησιν Sophistic Refutations [167a]
English: For whenever, if A is , B necessarily is, men also fancy that, if B is, A necessarily is. (Loeb#400, p. 31)
Greek: ὅταν γὰρ τοῦδε ὄντος ἐξ ἀνάγκης τόδε ᾖ, καὶ τοῦδε ὄντος οἴονται καὶ θάτερον εἶναι ἐξ ἀνάγκης Sophistic Refutations [167a]
4. Aristotle: Sophistic Refutations
English: since it happens that the earth becomes drenched when it has rained, if it is drenched, we think that it has rained, though this is not necessarily true. (Loeb#400, p. 31)
Greek: καὶ ἐπεὶ συμβαίνει τὴν γῆν ὕσαντος γίνεσθαι διάβροχον, κἂν ᾖ διάβροχος, ὑπολαμβάνομεν ὗσαι. Τὸ δ´ οὐκ ἀναγκαῖον. Sophistic Refutations [167a]
English: any more than it follows that a man who is hot must be in a fever because a man who is in a fever is hot. (Loeb#400, p. 31)
Greek: γέγονεν, ὥσπερ οὐδ´ εἰ ὁ πυρέττων θερμός, καὶ τὸν θερμὸν ἀνάγκη πυρέττειν. Sophistic Refutations [167a]
Judea Pearl uses the same example about the rain and wet ground in his work.
The ancient Greek word
"οἶσθα" ≈ "know, be acquainted with".
The ancient Greek word
"οἶδα" ≈ "know, be acquainted with".
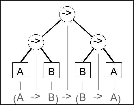
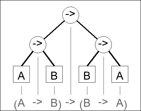
5. Extended truth table proof
 |
A B | ( A -> B ) -> ( B -> A )
------------------------------
0 0 | ( 0 1 0 ) 1 ( 0 1 0 )
0 1 | ( 0 1 1 ) 0 ( 1 0 0 )
1 0 | ( 1 0 0 ) 1 ( 0 1 1 )
1 1 | ( 1 1 1 ) 1 ( 1 1 1 )
|
Here is an extended truth table proof that (A implies B) implies that (B implies A) is
not true.
If it were true, then all entries below the middle "
->" would be
1 or
true.
6. Conditional probability
One way to deceive people is to use
conditional probabilities as if they go both ways equally.
The probability that one speaks Spanish given that one lives in Spain is very high.
The probability that one lives in Spain given that one speaks Spanish is very low.
7. Spanish and Spain
The probability that someone speaks Spanish given that they live in Spain is very high.
The probability that someone lives in Spain given that they speak Spanish is very low.
This idea can be expressed as a decision tree and can be interpreted as the converse fallacy.
8. Knowing the material and getting an A
Converse fallacy: A student thinks that if they can somehow wrangle points from the professor/teacher to get an "
A" that they will be considered that they "
know the material".
Students often think that the teacher gives them a grade. It is best to clarify to the student that the teacher gives them the grade that they earned in the class.
9. Psychology: attitude influences behavior
In the field of psychology, one assumes that attitude predicts behavior. Since one cannot see attitude, one needs to infer attitude from behavior. This is the "
converse fallacy" in disguise.
In 1 Samuel 16:7, it is stated that man looks on the "
outward appearance". Appearances can be deceiving. Humans tend to look at the outward appearance. God looks at the heart.
1 Samuel 16:7 … for man looketh on the outward appearance, but the LORD looketh on the heart. [kjv]
Warning: Many modern psychology concepts started with Sigmund Freud who hated religion and the Bible and purposely introduced ideas to go
against the Bible such as getting rid of guilt, shame, etc.
10. Faith and works
Converse fallacy: The visible works a person does is used to infer the invisible faith of a person.
1 Samuel 16:7 But the LORD said unto Samuel, Look not on his countenance, or on the height of his stature; because I have refused him: for the LORD seeth not as man seeth; for man looketh on the outward appearance, but the LORD looketh on the heart. [kjv]
και ειπεν κυριος προς σαμουηλ μη επιβλεψης επι την οψιν αυτου μηδε εις την εξιν μεγεθους αυτου οτι εξουδενωκα αυτον οτι ουχ ως εμβλεψεται ανθρωπος οψεται ο θεος οτι ανθρωπος οψεται εις προσωπον ο δε θεος οψεται εις καρδιαν [lxx]
The Greek for "
appearance" is that of "
face" which, in Greek, means what is "
before the view".
11. 1 Samuel 16:7
KJV: But the LORD said unto Samuel, Look not on his countenance, or on the height of his stature; because I have refused him: for the LORD seeth not as man seeth; for man looketh on the outward appearance, but the LORD looketh on the heart.
Hebrew: ויאמר יהוה אל שמואל אל תבט אל מראהו ואל גבה קומתו כי מאסתיהו כי לא אשר יראה האדם כי האדם יראה לעינים ויהוה יראה ללבב׃
Greek: και ειπεν κυριος προς σαμουηλ μη επιβλεψης επι την οψιν αυτου μηδε εις την εξιν μεγεθους αυτου οτι εξουδενωκα αυτον οτι ουχ ως εμβλεψεται ανθρωπος οψεται ο θεος οτι ανθρωπος οψεται εις προσωπον ο δε θεος οψεται εις καρδιαν
12. James 2:17-18
James 2:17 Even so faith, if it hath not works, is dead, being alone. [kjv]
2:18 Yea, a man may say, Thou hast faith, and I have works: shew me thy faith without thy works, and I will shew thee my faith by my works. [kjv]
Is it possible to show "
faith" by "
works"?
Could one be deceived?
 |
Details are left as a future topic.
|
13. James 2:17
KJV: Even so faith, if it hath not works, is dead, being alone.
Greek: ουτως και η πιστις εαν μη εργα εχη εργα νεκρα εστιν καθ εαυτην
14. James 2:18
KJV: Yea, a man may say, Thou hast faith, and I have works: shew me thy faith without thy works, and I will shew thee my faith by my works.
Greek: αλλ ερει τις συ πιστιν εχεις καγω εργα εχω δειξον μοι την πιστιν σου εκ χωρις των εργων σου καγω δειξω σοι δειξω εκ των εργων μου την πιστιν μου
15. Matthew 24:23-26 Context verses
Matthew 24:23 Then if any man shall say unto you, Lo, here is Christ, or there; believe it not. [kjv]
24:24 For there shall arise false Christs, and false prophets, and shall shew great signs and wonders; insomuch that, if it were possible, they shall deceive the very elect. [kjv]
24:25 Behold, I have told you before. [kjv]
24:26 Wherefore if they shall say unto you, Behold, he is in the desert; go not forth: behold, he is in the secret chambers; believe it not. [kjv]
εαν ουν ειπωσιν υμιν ιδου εν τη ερημω εστιν μη εξελθητε ιδου εν τοις ταμειοις μη πιστευσητε [gnt]
16. Opinion as Glory
The Greek word translated as "
glory" form the Latin means, in the Greek, "
opinion". Giving God "
glory" means putting God's "
opinion" before our own. Taking God's "
glory" means substituting our own "
glory" or "
opinion" for God's "
opinion".
Converse fallacy: The visible opinion/glory a person gives to God can be seen and is used to infer the invisible opinion/glory that person gives to God.
What do many churches do? How about, "
Let's all stand up and give glory to God".
17. Love is the only way
The ancient Greek word
"αγάπη" ≈ "totally devoted to, love" from which we get the word
"agape".
The difference between "
God is love" and "
Love is god" can be subtle and deceptive - especially when spoken without the distinction between the one and only creator "
God" and a "
god" as in an idol or a desire.
This fallacy is common, covered extensively by Aristotle, and called the
converse fallacy as one of many names describing it.
18. Luke 7:30-31 Converse fallacy
Luke 7:30 But the Pharisees and lawyers rejected the counsel of God against themselves, being not baptized of him. [kjv]
οι δε φαρισαιοι και οι νομικοι την βουλην του θεου ηθετησαν εις εαυτους μη βαπτισθεντες υπ αυτου [gnt]
7:31 And the Lord said, Whereunto then shall I liken the men of this generation? and to what are they like? [kjv]
τινι ουν ομοιωσω τους ανθρωπους της γενεας ταυτης και τινι εισιν ομοιοι [gnt]
It is unlikely that they "
rejected the counsel of God" because they were not "
baptized".
It is more likely that the were not "
baptized" because they "
rejected the counsel of God".
Getting this backwards is called the "
converse fallacy".
19. Gold
All that is gold does not glitter. J. R. Tolkien (English author and philologist)
20. Wandering
Not all those who wander are lost. J. R. Tolkien (English author and philologist)
21. Reasoning issues
John 13:16 Verily, verily, I say unto you, The servant is not greater than his lord; neither he that is sent greater than he that sent him. [kjv]
αμην αμην λεγω υμιν ουκ εστιν δουλος μειζων του κυριου αυτου ουδε αποστολος μειζων του πεμψαντος αυτον [gnt]
Note that some will use an argument called "
argumentum a maiori ad minus" which says that if the "
greater" is true then the "
lesser" must be true.
Another name for this is "
Argumentum a fortiori" and appears to require a subset relationship but, in a sense, appears to be circular reasoning or what Aristotle calls "
begging the question" as in "
assuming the conclusion".
It is not immediately clear how this reasoning applies to this verse.
22. End of page