Send Close Add comments: (status displays here)
Got it!  This site "creationpie.org" uses cookies. You consent to this by clicking on "Got it!" or by continuing to use this website.  Note: This appears on each machine/browser from which this site is accessed.
Fact check fallacy: bad logic and conclusions
by RS  admin@creationpie.org : 1024 x 640


1. Fact check fallacy: bad logic and conclusions
This content is being developed.

2. Fact checking fallacy
The fact checking logic fallacy goes as follows. FYI: I made up the name for this pattern. It may already have a name. Note that this combines a number of other logic fallacies.

3. Checking the fact checking
A follow-on logic fallacy is to claim you are fact checking the fact checking.

This might be called meta-fact-checking but works in basically the same way.

A campaign against "misinformation" appears to be very similar that of "fact checking".

Information sign More: Have you ever met a prefix like this?

4. Fact check fallacy: bad logic and conclusions
One may make the claim that A implies B. Most people think (incorrectly) that showing a fact in A to be incorrect makes B not true. This is the fact check fallacy.

argument: A implies B
fact check:
(fallacy)
not A implies not B
(not true in general)

As Aristotle points out, using bad or invalid logic does not mean that the conclusion is false. One needs to do more analysis to determine that.

Deceptive leaders or teachers, called by Jesus as "birds" know about the fact check fallacy and will attempt to point out real or deceptive facts that are incorrect in ideas with which they do not agree while, at the some time, preening their feathers so they cannot be fact checked.

That many people believe the fact check fallacy means that, in practice, one should include no more in an argument than is absolutely necessary - to avoid true or deceptive fact checking.

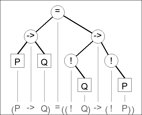
5. Modus ponens and modus tollens
Expression tree for (P -> Q) = ((! Q) -> (! P))
P Q | ( P -> Q ) = ( ( ! Q ) -> ( ! P ) ) ----------------------------------------- 0 0 | ( 0 1 0 ) 1 ( ( 1 0 ) 1 ( 1 0 ) ) 0 1 | ( 0 1 1 ) 1 ( ( 0 1 ) 1 ( 1 0 ) ) 1 0 | ( 1 0 0 ) 1 ( ( 1 0 ) 0 ( 0 1 ) ) 1 1 | ( 1 1 1 ) 1 ( ( 0 1 ) 1 ( 0 1 ) )

The expressions are the same since the values under the equal sign "=" are all 1 or true.

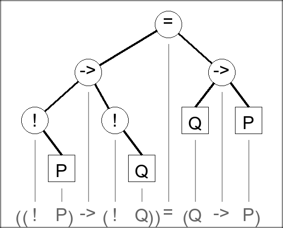
6. Implication is not the same as the fact check fallacy
Expression tree for (P -> Q) = ((! P) -> (! Q))
P Q | ( P -> Q ) = ( ( ! P ) -> ( ! Q ) ) ----------------------------------------- 0 0 | ( 0 1 0 ) 1 ( ( 1 0 ) 1 ( 1 0 ) ) 0 1 | ( 0 1 1 ) 0 ( ( 1 0 ) 0 ( 0 1 ) ) 1 0 | ( 1 0 0 ) 0 ( ( 0 1 ) 1 ( 1 0 ) ) 1 1 | ( 1 1 1 ) 1 ( ( 0 1 ) 1 ( 0 1 ) )

Here is an extended truth table proof that the fact check fallacy is not equivalent to implication.

The expressions are not the same since the values under the equal sign "=" are not all 1 or true.

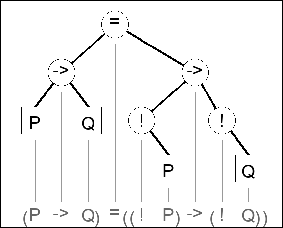
7. Fact check fallacy and converse error
Expression tree for ((! P) -> (! Q)) = (Q -> P)
P Q | ( ( ! P ) -> ( ! Q ) ) = ( Q -> P ) ----------------------------------------- 0 0 | ( ( 1 0 ) 1 ( 1 0 ) ) 1 ( 0 1 0 ) 0 1 | ( ( 1 0 ) 0 ( 0 1 ) ) 1 ( 1 0 0 ) 1 0 | ( ( 0 1 ) 1 ( 1 0 ) ) 1 ( 0 1 1 ) 1 1 | ( ( 0 1 ) 1 ( 0 1 ) ) 1 ( 1 1 1 )

Here is an extended truth table proof that the fact check fallacy is equivalent to the converse error.

The expressions are the same since the values under the equal sign "=" are all 1 or true.

Information sign More: Converse fallacy: If A then B does not mean If B then A

8. Matthew 10:16 Animal crackers
In Matthew 10:16, Jesus uses four creatures in one verse: sheep, wolves, serpents and doves or (pigeons) as "birds". The English adjectives do not fit the Greek words.
Matthew 10:16 Behold, I send you forth as sheep in the midst of wolves: be ye therefore wise as serpents, and harmless as doves. [kjv]
ιδου εγω αποστελλω υμας ως προβατα εν μεσω λυκων γινεσθε ουν φρονιμοι ως οι οφεις και ακεραιοι ως αι περιστεραι [gnt]

"Wolves" operate in groups and look for any weakness in their prey. Wolves and dogs can interbreed. A "wolf-dog" is in contrast to a "sheep-dog".

The "serpents" are not "wise" in the English sense. They are opportunistic and prudent. So, no "wise crackers" here!

The "doves" or "pigeons" (same bird) or "birds" are not "harmless" in the English sense. They are without frills (insect antennas), with smooth feathers, preened of pests. not fact-checked, etc. Is this how "birds" of "prey" or "pray" want to appear?

Information sign More: Matthew 7:6 The hunt for holy hound splits
Information sign More: Flipping the pigeon bird as reality or perception
Information sign More: A wise opportunity to be prudent
Information sign More: Matthew 10:16 An unworldly thorny issue that is for the pigeon birds

9. Fact check fallacy
The fact check fallacy is the same as the converse fallacy. The fact check fallacy is related to many other fallacies.

Information sign More: Converse fallacy: If A then B does not mean If B then A
Information sign More: Deception by avoiding detection using concealment
Information sign More: A biased view about being unbiased
Information sign More: Tu quoque or you too fallacy

10. Memory holes
A "memory hole" is the deliberate changing of historical or other information that is not convenient for someone. The idea became popular by the George Orwell novel Nineteen Eighty-Four (1949) where the technique is used by the "Ministry of Truth". The idea was present in an earlier novel Animal Farm (1945).
A similar idea in the books is that of "doublethink". One often sees this idea in action in terms of "fact checking" whereby the "facts" checked may or may not exist in reality.

In computing this idea is sometimes called the "bit bucket" where "bits" of information disappear. Amazon does this by erasing (or changing) purchased books from the Kindle when they decide the content is not suitable.

The web site called the "Memory Hole" attempts to preserve information that might otherwise be lost.

[Star Wars librarian][racism, Isaiah]

Information sign More: George Orwell

11. Logical inference groups
The following are all equivalent.
A implies B modens ponens
B if A (top down)
(not B) or A
(not B) implies (not A) modens tollens
A or (not B)
True
The two tables are symmetric. Which one is true? The other one is then false.

If the above are true, then the following are not true or false.

The following are all equivalent.
B implies A converse error
A if B (top down)
(not A) or B
(not A) implies (not B) fact check fallacy
B or (not A)
False
There are a terrible lot of lies going about the world, and the worst of it is that half of them are true. Winston Churchill.
Note that if the bottom table is true, then the top table is not true or false. To see this requires algebraic substitution of names for other names (as in a code). This is part of the programming process in computer science, software engineering, etc.

12. Matthew 24:22 Variable operands and operators
Matthew 24:22 And except those days should be shortened, there should no flesh be saved: but for the elect's sake those days shall be shortened. [kjv]
και ει μη εκολοβωθησαν αι ημεραι εκειναι ουκ αν εσωθη πασα σαρξ δια δε τους εκλεκτους κολοβωθησονται αι ημεραι εκειναι [gnt]

Variable operands for the verse
X  εκολοβωθησαν αι ημεραι εκειναι  those days be shortened
X  κολοβωθησονται αι ημεραι εκειναι  those days be shortened
Y  εσωθη πασα σαρξ  saved all flesh
E  δια (τους) εκλεκτους  by the elect

Connective operators for the verse
if not  ει μη  if not
if not  ουκ αν  if not
but by  δια δε  through but
To support the idea of a good "elect". the Greek for "by" or "through" was changed (reversed) to "for".

Information sign More: Matthew 24:21-24 Short day cutoff

13. Matthew 24:22 Abstracted logic
Matthew 24:22 And except those days should be shortened, there should no flesh be saved: but for the elect's sake those days shall be shortened. [kjv]

Let X be "those days/parts be shortened or cut off", Y be "flesh saved", E be "elect". In three verses, Jesus will remind us that he had told us this before.

Information sign More: Converse fallacy: If A then B does not mean If B then A
Information sign More: Equivocation deception between names and meanings
Information sign More: Matthew 24:21-24 Short day cutoff

14. Matthew 24:22 Paraphrase
Matthew 24:22 And except those days should be shortened, there should no flesh be saved: but for the elect's sake those days shall be shortened. [kjv]
και ει μη εκολοβωθησαν αι ημεραι εκειναι ουκ αν εσωθη πασα σαρξ δια δε τους εκλεκτους κολοβωθησονται αι ημεραι εκειναι [gnt]

Paraphrase using the above logic: And if those days [parts there yes] were not cut off (horns/rules removed) no flesh would be saved, but though the (deceived) elect's (false) ideas, those days [parts there yes] will be cut off (horns/rules removed) in order to (invalid logic) save all flesh. Discuss: Has it ever happened that false teachers want to "cut off" all horns/rules/parts in order that all "flesh" might be "saved"? Does it help fill the pews (or their own salary)?

Information sign More: Matthew 24:21-24 Short day cutoff

15. Lies
There are a terrible lot of lies going about the world, and the worst of it is that half of them are true. Winston Churchill (British statesman)
Lies and truthsHow might one determine what is true and what is not true?

Information sign More: Winston Churchill

16. End of page

by RS  admin@creationpie.org : 1024 x 640