Send
Close Add comments:
(status displays here)
Got it! This site "creationpie.org" uses cookies. You consent to this by clicking on "Got it!" or by continuing to use this website. Note: This appears on each machine/browser from which this site is accessed.
A conditional conjunction of constraints
1. A conditional conjunction of constraints
A constraint is a limitation on a solution. In scientific fields such a constraint is called a boundary condition.
A conjunction of constraints is a set of constraints that need to be all satisfied.
A computational principle is that a conditional evaluation, sometimes called short-circuit evaluation, where not all constraints may need to be evaluated in order to determine a result. A conjunction of constraints can be evaluated in any order desired. If any constraints is not satisfied, the others need not be evaluated (to determine the final result).
Some multiple constraints provided by Jesus in Matthew are here analyzed in terms of a conjunction of constraints.
2. Domains
Let us first look at some of the words, definitions and etymologies of relevant terms and concepts.
The areas of interest include the following ideas and definitions.
Data consists of a collection of facts. Someone is smart if they have the ability to learn a lot of facts.
Rules use facts (and other rules) to summarize abstracted facts. Someone is wise if they know a lot of facts and rules and how to use them.
Someone has understanding if they are wise and know when and when not to use facts and rules.
Someone is prudent if they have understanding and account for what is not known. This has a probabilistic aspect to it.
3. Psalms 32:9 Constraint conjunction
4. Psalms 32:9
KJV: Be ye not as the horse, or as the mule, which have no understanding: whose mouth must be held in with bit and bridle, lest they come near unto thee.
Hebrew: אל תהיו כסוס כפרד אין הבין במתג ורסן עדיו לבלום בל קרב אליך׃
Greek: μη γινεσθε ως ιππος και ημιονος οις ουκ εστιν συνεσις εν χαλινω και κημω τας σιαγονας αυτων αγξαι των μη εγγιζοντων προς σε
Latin: nolite fieri sicut equus et mulus quibus non est intellegentia in camo et freno maxillas eorum constringe qui non accedunt ad te
5. Constraint logic
A
constraint logic system is a system of
constraints whose solution needs to satisfy those constraints. One example is in the field of
linear programming (which uses linear constraints) where all solutions are (points or lines) on the boundary of the convex region.
A
unifier unifies the constraints without contradictions. A
MGU (Most General Unifier) unifies the constraints without contradictions and has a minimal frontier in the lattice of constraints, a
LFP (Least Fixed Point). If there are multiple solutions, a constraint logic system will attempt to find all
MGU constraints (e.g., via backtracking).
6. Puzzle pieces
Here there are
3*3*3*3 or
81 possible puzzle pieces. Some are the same under
rotation so that there are
24 unique pieces. These
24 pieces can be used to create a puzzle. It is harder to take the mixed-up pieces and make the puzzle.
7. Mosaics
A
mosaic is a piece of artwork consisting of small colored tiles that when observed from a distance merge together to create a picture of something. Mosaics were popular in Roman times.
The English word
"mosaic" comes, through French, from the Latin word
"museum" ≈ "museum" which comes from the ancient Greek word
"Μουσεῖον" ≈ "Shrine of the Muses" which could represent a hill in Athens (where that Shrine was located).
The modern Greek word
"μουσείο" (mu-SEE-o) ≈ "museum".
[life of Christ as a mosaic, living mosaically]
8. Logical conjunction
The English word
"conjuction" comes, through French, from the Latin word
"coniungere" ≈ "join".
The logical
conjunction or
intersection of two operands is true if (and only if) both operands are true. The logical conjunction "
and" is the
same as the natural language "
and".
Example: To graduate, you must take and pass
both MA101 (Math 101)
and EN101 (English 101) and some others, ignored here. That is, you must take both courses to graduate.
Conjunction can be extended to any number of operators. There are other logical operators for two-valued logic that are not needed here.
9. Pleiades and Orion
Job 38:31 Canst thou bind the sweet influences of Pleiades, or loose the bands of Orion? [kjv]
συνηκας δε δεσμον πλειαδος και φραγμον ωριωνος ηνοιξας [lxx]
… coniungere … Pliadis … Arcturi … [v]
The logical
conjunction of two operands is true if (and only if) both operands are true. The English word
"conjuction" comes, through French, from the Latin word
"coniungere" ≈ "join".
The
LXX (Septuagint) uses the word "
and" for
conjunction while the English uses "
or" for
disjunction. Most translations use the word "
or" or omit any use of "
and" or "
or" (e.g., the
NIV (New International Version)).
10. Conjunction
The
conjunction or
intersection of
A & B or
A and B is
true=
1 if
both of
A and
B are true=
1, else the result is
false=
0.
11. Conjunction
The word "
and" is a conjunction in that both parts (on either side) are needed.
Example: You need to buy milk
and cookies at the store.
Distribute as follows.
You need to buy milk at the store and
you need to buy cookies at the store.
You need to do both.
12. Sets and Venn diagram
Logical
conjunction (i.e., "
And", "
&", etc.) is related to the
intersection operation of sets.
Here is a mathematical definition of set intersection.

Note how the set intersection operator "
∩" and the logical conjunction symbol "
∧" are related. They are wide at the bottom and narrow/close at the top. This did not just happen. They are related.
13. A third alternative
Many people think of two choices.
1. Look and do it.
2. Look but do not do it.
A third choice is at the heart of computer science and statistics.
3. Do not look. There is a cost to looking. And it may not matter.
It may already be known what is there, or it may have been determined that it is not necessary.
14. Short-circuit conditional evaluation
This idea is used all of the time in computer science and programming. A simple example is that of conditional evaluation of expressions (i.e., no side-effects during evaluation).
In the expression A and B, if A is false, then one need not look at B.
In the expression A or B, if A is true, then one need not look at B.
It may be the case that evaluating
B may cause an error.
In discussions, it may be the case that
B is a "
red herring" and does not matter. The only thing that matters is
A. Here are some tautologies often used in programming (as algebraic transformations).
(A and false) = false
(A and true) = A
(A or false) = A
(A or true) = true
(A = true) = A
(A = false) = false = (not A)
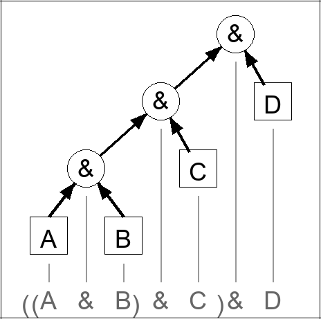
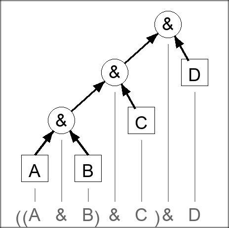
15. Short-circuit conditional evaluation
|
A B C D | ( ( A & B ) & C ) & D
-------------------------------
0 0 0 0 | ( ( 0 0 0 ) 0 0 ) 0 0
0 0 0 1 | ( ( 0 0 0 ) 0 0 ) 0 1
0 0 1 0 | ( ( 0 0 0 ) 0 1 ) 0 0
0 0 1 1 | ( ( 0 0 0 ) 0 1 ) 0 1
0 1 0 0 | ( ( 0 0 1 ) 0 0 ) 0 0
0 1 0 1 | ( ( 0 0 1 ) 0 0 ) 0 1
0 1 1 0 | ( ( 0 0 1 ) 0 1 ) 0 0
0 1 1 1 | ( ( 0 0 1 ) 0 1 ) 0 1
1 0 0 0 | ( ( 1 0 0 ) 0 0 ) 0 0
1 0 0 1 | ( ( 1 0 0 ) 0 0 ) 0 1
1 0 1 0 | ( ( 1 0 0 ) 0 1 ) 0 0
1 0 1 1 | ( ( 1 0 0 ) 0 1 ) 0 1
1 1 0 0 | ( ( 1 1 1 ) 0 0 ) 0 0
1 1 0 1 | ( ( 1 1 1 ) 0 0 ) 0 1
1 1 1 0 | ( ( 1 1 1 ) 1 1 ) 0 0
1 1 1 1 | ( ( 1 1 1 ) 1 1 ) 1 1
The overall result is the column under the rightmost "&".
|
 |
16. Conjunction of constraints
The constraints are declarative. Order of evaluation does not matter.
One can evaluate the constraints in any order. The order of evaluation may impact efficiency.
One can think about the evaluation of constraints in any order.
Redundant conditions yield the same result, albeit at more evaluation cost.
Assumption: No side effects during the evaluation process.
17. Conjunction of constraints
18. Constraints in Matthew
19. Matthew 24:39 Sudden surprise
Jesus says that this will happen suddenly.
Matthew 24:39 And knew not until the flood came, and took them all away; so shall also the coming of the Son of man be. [kjv]
και ουκ εγνωσαν εως ηλθεν ο κατακλυσμος και ηρεν απαντας ουτως εσται η παρουσια του υιου του ανθρωπου [gnt]
Is Jesus coming back? Will this be suddenly? Will it be a surprise? Here are the upcoming discourses and parables in this Olivet discourse.
1. Bad (evil) servant. One was surprised.
2. Ten virgins. Half, or five of the ten, or one of two groups, are surprised.
3. Talents: One of the three was surprised.
4. Sheep and goats. Some are surprised - for better or worse - of the four criteria (six stated).
This surprise is often associated with "
weeping" and "
gnashing of teeth".
20. Matthew 24:48-49 Hit me with your best shot
Matthew 24:48 But and if that evil servant shall say in his heart, My lord delayeth his coming; [kjv]
24:49 And shall begin to smite his fellowservants, and to eat and drink with the drunken; [kjv]
και αρξηται τυπτειν τους συνδουλους αυτου εσθιη δε και πινη μετα των μεθυοντων [gnt]
Here is one way to take these verses
figuratively in a sense of
"type" as used by Paul, Barnabas, etc. The "
evil" or "
bad" "
servant" is a
"bird" or
false leader. A
"type" is a metaphor of something of more significance. The
"bird" will
"type" the followers with bad example after bad example to deceive the followers.
If you do not like this figurative meaning of "
type" as "
smite", at least I tried to "
hit" you with my best "
shot", to "
clobber" you with "
logic", but you took it as a "
slap" in the "
face", and were not "
smitten" by the analogy.
21. Matthew 24:51 Cut asunder
Matthew 24:51 And shall cut him asunder, and appoint him his portion with the hypocrites: there shall be weeping and gnashing of teeth. [kjv]
και διχοτομησει αυτον και το μερος αυτου μετα των υποκριτων θησει εκει εσται ο κλαυθμος και ο βρυγμος των οδοντων [gnt]
The
"hypocrites" or
"actors" or
"pretenders" are the
"birds" or
false leaders of the
religious elite.
The ancient Greek word
"δίχα" ≈ "into two parts, in two ways". This word was used by Jesus, and translated as
"variance", when Jesus says that he came to bring or "
throw" a "
sword". The Greek word used here adds the suffix for
"piece" as
"into two pieces" as
"τομή" ≈ "notch, cut, intersection".
22. Matthew 10:35 Variance
Matthew 10:35 For I am come to set a man at variance against his father, and the daughter against her mother, and the daughter in law against her mother in law. [kjv]
ηλθον γαρ διχασαι ανθρωπον κατα του πατρος αυτου και θυγατερα κατα της μητρος αυτης και νυμφην κατα της πενθερας αυτης [gnt]
The
KJV (King James Version) translates as
"variance" the ancient Greek word
"δίχα" ≈ "into two parts, in two ways" and, in general, anything pulled or separated into two parts. The Latin word
"separe" ≈ "separate".
The ancient Greek word
"κατά" ≈ "against, opposing, into" (genitive) with a sense of "
getting down" to something.
23. Variance build
Matthew 10:35 For I am come to set a man at variance against his father, and the daughter against her mother, and the daughter in law against her mother in law. [kjv]
The description of family members is not
complete in a
literal sense (missing family parts and connections). Thus, the meanings may be
symbolic.
Jesus talked about the
"man" or
"bird" (
false leaders and/or
false teachers) not wanting a "
healer", as in a "
sword" of
"truth" taken to their "
fornication", in the previous chapter.
24. Matthew 25:3 Symbolic meaning of oil
Matthew 25:3 They that were foolish took their lamps, and took no oil with them: [kjv]
αι γαρ μωραι λαβουσαι τας λαμπαδας αυτων ουκ ελαβον μεθ εαυτων ελαιον [gnt]
The following words may be related and can be play on words with each other.
"ἔλαιον" ≈ "olive oil".
"ἔλεος" ≈ "pity, mercy, compassion".
"ἐλεός" ≈ "kind of owl".
Discuss:
How might the "Holy Spirit" be related to "mercy" and/or "olive oil"?
Might the "olive oil" be related to "mercy" and "compassion"?
Might the "foolish" or "non-prudent" "virgins" have lacked "mercy" and "compassion"?
The "
Holy Spirit" does not speak of itself, so any symbolic reference is always somewhat obscure.
25. Matthew 25:3-4
Matthew 25:3 They that were foolish took their lamps, and took no oil with them: [kjv]
αι γαρ μωραι λαβουσαι τας λαμπαδας αυτων ουκ ελαβον μεθ εαυτων ελαιον [gnt]
25:4 But the wise took oil in their vessels with their lamps. [kjv]
αι δε φρονιμοι ελαβον ελαιον εν τοις αγγειοις μετα των λαμπαδων εαυτων [gnt]
The only thing Jesus says to "
take" is your "
cross" and "
follow" Him. Might the code word meaning of
"oil" be related to the code word meaning of "
cross"?
The "foolish" or "not prudent" have "lamps" without mention of "vessels".
The "wise" or "prudent" have "oil" in their "vessels" with their "lamps".
26. Matthew 13:47-50: KP7 Parable of the harvest at the end of the age
Matthew 13:47 Again, the kingdom of heaven is like unto a net, that was cast into the sea, and gathered of every kind: [kjv]
13:48 Which, when it was full, they drew to shore, and sat down, and gathered the good into vessels, but cast the bad away. [kjv]
The 7th and last of the Kingdom Parables in Matthew 13 is about the (implied) fish in the sea (of humanity).
The
"bad" is that of
"rotten" or
"putrid" or
"spoiled" (e.g., fruit). The
"vessels" may be
reflexive. Only the
"good" are
"arranged", not necessarily
"put", into
"vessels".
27. Matthew 25:14-30 Parable of the talents in Matthew
Matthew 25:14 For the kingdom of heaven is as a man travelling into a far country, who called his own servants, and delivered unto them his goods. [kjv]
25:15 And unto one he gave five talents, to another two, and to another one; to every man according to his several ability; and straightway took his journey. [kjv]
The Parable of the Talents is in Matthew 25
after the Parable of the Ten Virgins and
before the Parable of the Sheep and Goats.
28. Matthew 25:25
Matthew 25:25 And I was afraid, and went and hid thy talent in the earth: lo, there thou hast that is thine. [kjv]
και φοβηθεις απελθων εκρυψα το ταλαντον σου εν τη γη ιδε εχεις το σον [gnt]
The Greek word for
"earth" and
"sand" appear to be similar. In Matthew, Jesus talks about the "
house" built on
"sand". What people remembered and told Luke was the "
house" built on
"earth".
Discuss:
Is what this servant says the truth?
Was it, perhaps, an excuse thought up at the moment to rationalize what had been done? That is what is said in Luke.
29. Conjunction of constraints
A = bird (1)
B = virgins (2 groups)
C = servants (3)
D = (sheep and) goats (4 criteria)
E = life (eternal)
The parable of the sheep and goats appears to be the last and final division/constraint.
30. Conjunction of constraints
 |
A = bird (1)
B = virgins (2 groups)
C = servants (3)
D = (sheep and) goats (4 criteria)
E = life (eternal)
|
What does it mean to be "saved"?
At which point is one "saved"?
At which point can one not lose their "salvation"?
Is one "saved" by "grace"? What does that mean?
31. Acts 15:11 Saved by grace
Acts 15:11 But we believe that through the grace of the Lord Jesus Christ we shall be saved, even as they. [kjv]
αλλα δια της χαριτος του κυριου ιησου πιστευομεν σωθηναι καθ ον τροπον κακεινοι [gnt]
What does it mean to be
"saved" by
"grace"?
What is "grace"?
What does it mean to be "saved"?
The ancient Greek word
"τρόπος" ≈ "turn, way, style" and is the source of the English word
"trope" as a "
figure of speech". This word is
not directly translated in the
KJV.
[Satan and programming contest with Jesus]
32. Acts 15:11
KJV: But we believe that through the grace of the Lord Jesus Christ we shall be saved, even as they.
Greek: αλλα δια της χαριτος του κυριου ιησου χριστου πιστευομεν σωθηναι καθ ον τροπον κακεινοι
33. Ephesians 2:4-5 By grace saved
Ephesians 2:4 But God, who is rich in mercy, for his great love wherewith he loved us, [kjv]
ο δε θεος πλουσιος ων εν ελεει δια την πολλην αγαπην αυτου ην ηγαπησεν ημας [gnt]
2:5 Even when we were dead in sins, hath quickened us together with Christ, (by grace ye are saved;) [kjv]
και οντας ημας νεκρους τοις παραπτωμασιν συνεζωοποιησεν τω χριστω χαριτι εστε σεσωσμενοι [gnt]
The Greek word translated as
"sin" is that of, literally,
"beyond fallen" and might be thought of as
"stupid things" done by you and others,
not "trespasses".
Here we have the "
quick" and the "
dead". If we were "
dead" in our "
sins", then the "
offer" of "
grace", when accepted, makes us "
alive" and "
quick" as in "
saved".
For what
purpose are we made "
alive" instead of "
dead"? Are we "
better together" as in "
saved together" as the Greek word "
quickened us together" means in the Greek.
34. Matthew 6:14-15 Going astray in pursuit
Matthew 6:14 For if ye forgive men their trespasses, your heavenly Father will also forgive you: [kjv]
εαν γαρ αφητε τοις ανθρωποις τα παραπτωματα αυτων αφησει και υμιν ο πατηρ υμων ο ουρανιος [gnt]
6:15 But if ye forgive not men their trespasses, neither will your Father forgive your trespasses. [kjv]
εαν δε μη αφητε τοις ανθρωποις τα παραπτωματα αυτων ουδε ο πατηρ υμων αφησει τα παραπτωματα υμων [gnt]
The word often translated as
"trespass" is the ancient Greek word
"παράπτωσις" ≈ "impetuous pursuit, going astray". The parts of the word mean, literally, going
"beyond falling" as in "
fault" of imperfection.
The ancient Greek word "παρά" ≈ "beyond" and, in this case, "excessive".
The ancient Greek word "πτῶσις" ≈ "falling, failing". In the Beatitudes, the Greek word is used to describe those who are "poor" "beggars" in "spirit" and need the "good news".
A general English phrase for this might be
"stupid things" that are done (by you or others).
35. Ephesians 2:4
KJV: But God, who is rich in mercy, for his great love wherewith he loved us,
Greek: ο δε θεος πλουσιος ων εν ελεει δια την πολλην αγαπην αυτου ην ηγαπησεν ημας
36. Ephesians 2:5
KJV: Even when we were dead in sins, hath quickened us together with Christ, (by grace ye are saved;)
Greek: και οντας ημας νεκρους τοις παραπτωμασιν συνεζωοποιησεν τω χριστω χαριτι εστε σεσωσμενοι
37. Useful play on the word of Christ
Matthew 11:30 For my yoke is easy, and my burden is light. [kjv]
ο γαρ ζυγος μου χρηστος και το φορτιον μου ελαφρον εστιν [gnt]
1:16 And Jacob begat Joseph the husband of Mary, of whom was born Jesus, who is called Christ. [kjv]
ιακωβ δε εγεννησεν τον ιωσηφ τον ανδρα μαριας εξ ης εγεννηθη ιησους ο λεγομενος χριστος [gnt]
The Greek for "
yoke" is, literally, "
two going together". There is a play on words of
"useful",
not "easy", with
"Christ". Today these words mean the same thing and are pronounced the same.
"χρηστός" ≈ "useful". Without the play on words: My yoke is useful.
"χριστός" ≈ "anointed one, Christ". With the play on words: My yoke is Christ.
Paul uses the same play on words in Romans 16 where
false teachers will use
"useful" "
words"
rather than
"Christ" "
words"
There are interesting words in the intervening verses 18 to 29.
 |
Details are left as a future topic.
|
38. Ephesians 2:6-7
Ephesians 2:6 And hath raised us up together, and made us sit together in heavenly places in Christ Jesus: [kjv]
και συνηγειρεν και συνεκαθισεν εν τοις επουρανιοις εν χριστω ιησου [gnt]
2:7 That in the ages to come he might shew the exceeding riches of his grace in his kindness toward us through Christ Jesus. [kjv]
ινα ενδειξηται εν τοις αιωσιν τοις επερχομενοις το υπερβαλλον πλουτος της χαριτος αυτου εν χρηστοτητι εφ ημας εν χριστω ιησου [gnt]
The Greek word translated as
"kindness" is that of
"usefulness".
The ancient Greek word "χρηστός" ≈ "useful, good".
The ancient Greek word "χριστός" ≈ "anointed one, Christ".
Discuss: Are we to be "
sitting" "
together" as in not doing anything? Explain.
Later in Ephesians, those "
heavenly" "
places" will have "
spiritual" "
wickedness".
39. Ephesians 6:12 The opposition
Ephesians 6:12 For we wrestle not against flesh and blood, but against principalities, against powers, against the rulers of the darkness of this world, against spiritual wickedness in high places. [kjv]
οτι ουκ εστιν ημιν η παλη προς αιμα και σαρκα αλλα προς τας αρχας προς τας εξουσιας προς τους κοσμοκρατορας του σκοτους τουτου προς τα πνευματικα της πονηριας εν τοις επουρανιοις [gnt]
Summary of the
opposition (not some long ago and far away esoteric evil):
"wrestle" is a play on words with "again" and "of old".
"against" is that of "to" as in taking it "to" the opposition.
40. Ephesians 6:12 The opposition
Ephesians 6:12 For we wrestle not against flesh and blood, but against principalities, against powers, against the rulers of the darkness of this world, against spiritual wickedness in high places. [kjv]
"principalities" or "of old": generic evil at the start after the fall of the creation (base case)
"powers" or "lack of restraint": generic powers since the fall of the creation (step case)
"rulers" or "people power" of "darkness" of this (singular): civil governments (external threat)
"wickedness" or "oppression" in "high places" or "heavenly places": religious institutions (internal threat)
[Roman times, Nazi times, modern times (e.g., certain theologians), etc.]
41. Ephesians 2:6
KJV: And hath raised us up together, and made us sit together in heavenly places in Christ Jesus:
Greek: και συνηγειρεν και συνεκαθισεν εν τοις επουρανιοις εν χριστω ιησου
42. Ephesians 2:7
KJV: That in the ages to come he might shew the exceeding riches of his grace in his kindness toward us through Christ Jesus.
Greek: ινα ενδειξηται εν τοις αιωσιν τοις επερχομενοις τον υπερβαλλοντα πλουτον το υπερβαλλον πλουτος της χαριτος αυτου εν χρηστοτητι εφ ημας εν χριστω ιησου
43. Ephesians 2:8-9
Ephesians 2:8 For by grace are ye saved through faith; and that not of yourselves: it is the gift of God: [kjv]
τη γαρ χαριτι εστε σεσωσμενοι δια πιστεως και τουτο ουκ εξ υμων θεου το δωρον [gnt]
2:9 Not of works, lest any man should boast. [kjv]
ουκ εξ εργων ινα μη τις καυχησηται [gnt]
Discuss: Is there a connection between
"ask",
"seek",
"knock" and
"grace",
"faith",
"saved"? Explain.
[James, John 14]
The
"works" here are the observable "
fruit". This idea is reflexive so that the
"works" or "
fruit" are also the believer. The "
workers" of the "
harvest" are also the "
harvest". The Greek word for "
fruit" and the English word "
harvest" are related.
[the goats did works]
44. Ephesians 2:8
KJV: For by grace are ye saved through faith; and that not of yourselves: it is the gift of God:
Greek: τη γαρ χαριτι εστε σεσωσμενοι δια της πιστεως και τουτο ουκ εξ υμων θεου το δωρον
45. Ephesians 2:9
KJV: Not of works, lest any man should boast.
Greek: ουκ εξ εργων ινα μη τις καυχησηται
46. 2 Timothy 1:9
2 Timothy 1:9 Who hath saved us, and called us with an holy calling, not according to our works, but according to his own purpose and grace, which was given us in Christ Jesus before the world began, [kjv]
του σωσαντος ημας και καλεσαντος κλησει αγια ου κατα τα εργα ημων αλλα κατα ιδιαν προθεσιν και χαριν την δοθεισαν ημιν εν χριστω ιησου προ χρονων αιωνιων [gnt]
The Greek word translated as
"purpose" is that of, literally,
"before placed" and is
not one of the usual Greek words for "
purpose".
The ancient Greek word
"ἔργον" (er-gon) ≈ "work" is the source of the physics term
"erg" for work and is related to many other
PIE (Proto Indo-European) words for
"work".
[Wesley - Prevenient Grace]
[1 John 1 - relationships]
[Barnabas - purpose of law - converse error]
47. An opus on the workings of work
Matthew 20:2 And when he had agreed with the labourers for a penny a day, he sent them into his vineyard. [kjv]
συμφωνησας δε μετα των εργατων εκ δηναριου την ημεραν απεστειλεν αυτους εις τον αμπελωνα αυτου [gnt]
The ancient Greek word
"ἔργον" (er-gon) ≈ "work" is the source of the physics term
"erg" for work and is related to many other
PIE words for
"work".
20:3 And he went out about the third hour, and saw others standing idle in the marketplace, [kjv]
και εξελθων περι τριτην ωραν ειδεν αλλους εστωτας εν τη αγορα αργους [gnt]

The
negation of the Greek word for
"work" is the ancient Greek word
"αεργος" ≈ "not working, idle" which contracted to
"αργος" ≈ "not working, idle" and is the source of the name for the chemical element
"Argon" as a "
lazy gas".
48. 2 Timothy 1:9
KJV: Who hath saved us, and called us with an holy calling, not according to our works, but according to his own purpose and grace, which was given us in Christ Jesus before the world began,
Greek: του σωσαντος ημας και καλεσαντος κλησει αγια ου κατα τα εργα ημων αλλα κατ κατα ιδιαν προθεσιν και χαριν την δοθεισαν ημιν εν χριστω ιησου προ χρονων αιωνιων
49. Luke 19:8-10 Zacchaeus
Luke 19:8 And Zacchaeus stood, and said unto the Lord; Behold, Lord, the half of my goods I give to the poor; and if I have taken any thing from any man by false accusation, I restore him fourfold. [kjv]
19:9 And Jesus said unto him, This day is salvation come to this house, forsomuch as he also is a son of Abraham. [kjv]
19:10 For the Son of man is come to seek and to save that which was lost. [kjv]
What is meant in verse 19:9?
☐ Those in the
"house" will be
"saved".
☐ Those in the
"house" are
"saved".
☐ The "
savior"
Jesus has come to this
"house".
☐ Something else.
50. Luke 19:9-10 Zacchaeus
What might Jesus mean when he says this about Zacchaeus and his "
house"?
Luke 19:9 And Jesus said unto him, This day is salvation come to this house, forsomuch as he also is a son of Abraham. [kjv]
19:10 For the Son of man is come to seek and to save that which was lost. [kjv]
Discuss: Is there a connection between
"ask",
"seek",
"knock" and
"grace",
"faith",
"saved"? Explain.
The
"ask" came when Jesus called Zacchaeus out of the "
tree" (an early example of "
climb-it" change).
Consider the following. Someone is "
sick" in the "
house". The "
healer" arrives and "
heals" that person. One can say that "
healing" has come to this "
house". Has everyone in the "
house" been "
healed"?
51. Luke 19:8
KJV: And Zacchaeus stood, and said unto the Lord; Behold, Lord, the half of my goods I give to the poor; and if I have taken any thing from any man by false accusation, I restore him fourfold.
Greek: σταθεις δε ζακχαιος ειπεν προς τον κυριον ιδου τα ημιση ημισια μου των υπαρχοντων μου κυριε διδωμι τοις πτωχοις διδωμι και ει τινος τι εσυκοφαντησα αποδιδωμι τετραπλουν
52. Luke 19:9
KJV: And Jesus said unto him, This day is salvation come to this house, forsomuch as he also is a son of Abraham.
Greek: ειπεν δε προς αυτον ο ο ιησους οτι σημερον σωτηρια τω οικω τουτω εγενετο καθοτι και αυτος υιος αβρααμ εστιν
53. Luke 19:10
KJV: For the Son of man is come to seek and to save that which was lost.
Greek: ηλθεν γαρ ο υιος του ανθρωπου ζητησαι και σωσαι το απολωλος
54. Acts 8:36-38 Ethiopian eunuch
The Ethiopian eunuch asks Philip the following.
Acts 8:36 And as they went on their way, they came unto a certain water: and the eunuch said, See, here is water; what doth hinder me to be baptized? [kjv]
8:37 And Philip said, If thou believest with all thine heart, thou mayest. And he answered and said, I believe that Jesus Christ is the Son of God. [kjv]
8:38 And he commanded the chariot to stand still: and they went down both into the water, both Philip and the eunuch; and he baptized him. [kjv]
The
TR (Textus Receptus) adds 8:37.
Discuss:
Was the Ethiopian eunuch "saved"? Explain.
What is the importance of "baptism"? Explain.
How has the church used "baptism" and "confessions" as "oaths" in order to "measure" others as to their being "wheat" or a "weed"?
[Constantine]
55. Acts 8:36
KJV: And as they went on their way, they came unto a certain water: and the eunuch said, See, here is water; what doth hinder me to be baptized?
Greek: ως δε επορευοντο κατα την οδον ηλθον επι τι υδωρ και φησιν ο ευνουχος ιδου υδωρ τι κωλυει με βαπτισθηναι
56. Acts 8:37
KJV: And Philip said, If thou believest with all thine heart, thou mayest. And he answered and said, I believe that Jesus Christ is the Son of God.
Greek: ειπεν δε ο φιλιππος ει πιστευεις εξ ολης της καρδιας εξεστιν αποκριθεις δε ειπεν πιστευω τον υιον του θεου ειναι τον ιησουν χριστον
57. Acts 8:38
KJV: And he commanded the chariot to stand still: and they went down both into the water, both Philip and the eunuch; and he baptized him.
Greek: και εκελευσεν στηναι το αρμα και κατεβησαν αμφοτεροι εις το υδωρ ο τε φιλιππος και ο ευνουχος και εβαπτισεν αυτον
58. Acts 11:14
Acts 11:14 Who shall tell thee words, whereby thou and all thy house shall be saved. [kjv]
ος λαλησει ρηματα προς σε εν οις σωθηση συ και πας ο οικος σου [gnt]

59. Acts 11:14
KJV: Who shall tell thee words, whereby thou and all thy house shall be saved.
Greek: ος λαλησει ρηματα προς σε εν οις σωθηση συ και πας ο οικος σου
60. Acts 16:27,30-31
Acts 16:27 And the keeper of the prison awaking out of his sleep, and seeing the prison doors open, he drew out his sword, and would have killed himself, supposing that the prisoners had been fled. [kjv]
16:30 And brought them out, and said, Sirs, what must I do to be saved? [kjv]
και προαγαγων αυτους εξω εφη κυριοι τι με δει ποιειν ινα σωθω [gnt]
16:31 And they said, Believe on the Lord Jesus Christ, and thou shalt be saved, and thy house. [kjv]
οι δε ειπαν πιστευσον επι τον κυριον ιησουν και σωθηση συ και ο οικος σου [gnt]
61. Acts 16:27
KJV: And the keeper of the prison awaking out of his sleep, and seeing the prison doors open, he drew out his sword, and would have killed himself, supposing that the prisoners had been fled.
Greek: εξυπνος δε γενομενος ο δεσμοφυλαξ και ιδων ανεωγμενας τας θυρας της φυλακης σπασαμενος την μαχαιραν εμελλεν ημελλεν εαυτον αναιρειν νομιζων εκπεφευγεναι τους δεσμιους
62. Acts 16:30
KJV: And brought them out, and said, Sirs, what must I do to be saved?
Greek: και προαγαγων αυτους εξω εφη κυριοι τι με δει ποιειν ινα σωθω
63. Acts 16:31
KJV: And they said, Believe on the Lord Jesus Christ, and thou shalt be saved, and thy house.
Greek: οι δε ειπον ειπαν πιστευσον επι τον κυριον ιησουν χριστον και σωθηση συ και ο οικος σου
64. Big picture of prevenient grace
Some have pointed out a
difference from what Wesley stated and believed and what is being done today.
The Latin word
"praeveniens" ≈ "coming before, preceding" as in the "
porch" analogy. Intellectual ideas:
Calvin idea: depraved humans, predestination only, no free will
Arminius idea: depraved humans, little free will, grace only of predestined by God
Wesley idea: some more room for free will for sinful man
Modern changes: (some ideas)
Wesley idea then: Be convicted by sin and guilt, repent, believe, belong and behave.
Wesley idea today: Behave and appear to want to belong and believe.
Why not go directly to what Jesus said? [porch and door analogy]
65. TULIP
The "
tulip mania" started in 1634 in Holland and then, just as suddenly, collapsed in early 1637. Today, the business term "
Tulip mania" is used to refer to any economic bubble that grows suddenly and then collapses.
Five points of
Calvinism regarding salvation, etc., had the acronym of
TULIP.
These points were solidified at the Synod of Dort (1618-1619) in the Netherlands (Holland), before the "
tulip mania" in Holland, and used to refute the teachings of Arminianism.
 |
T = Total depravity
U = Unconditional election
L = Limited atonement
I = Irresistible grace
P = Perseverance of the saints
|
66. Predestined to have free will
Some people (e.g., mathematicians) like exact solutions to every problem. Some people (e.g., statisticians, business) can accept randomness and non-exact solutions or approximations to problems.
Far better an approximate answer to the right question, which is often vague, than the exact answer to the wrong question, which can always be made precise. John Tukey (American mathematician and statistician)
Is everything in reality "predetermined" or "deterministic"?
Is there "free will"?
Is there "randomness" in the universe (as we know it)?
 |
Details are left as a future topic.
|
67. Analogies
Grace as a coupon to be redeemed. Non-transferable.
Salvation as a ticket for entry into the competition. Must be used. Non-transferable. Is this a ticket to ride? Are there any riders attached?
The competition is not a spectator sport but, reflexively, a participant sport. The workers of the harvest are, themselves, part of the harvest.
Compare and contrast the following.
Jesus came to save the lost.
Jesus came to offer a ticket for the lost to be saved.
At what point are they
saved? When is the stock
vested? What is meant by
saved?
The English word
"coupon" is from the French word
"coupon" ≈ "coupon" which comes from
"couper" ≈ "cut".
68. End of page