- *G3768 *24 οὔπω (oo'-po) : from G3756 and G4452; not yet:--hitherto not, (no...) as yet, not yet.
- ουπω *25
- Matthew 16:9 Do ye not yet understand, neither remember the ...
- Matthew 24:6 ... but the end is not yet.
- Mark 8:17 ... no bread? perceive ye not yet, neither understand? have ye ...
- Mark 8:21 And he said unto them, How is it that ye do not understand?
- Mark 11:2 And saith unto them, Go your way into the village ...
- Mark 13:7 ... such things must needs be; but the end shall not be yet.
- John 2:4 ... mine hour is not yet come.
- John 3:24 For John was not yet cast into prison.
- John 6:17 And entered into a ship, and went over ...
- John 7:6 ... My time is not yet come: but your ...
- John 7:8 ... I go not up yet unto this ...
- John 7:30 ... his hour was not yet come.
- John 7:39 ... Holy Ghost was not yet given; because that Jesus was ...
- John 8:53 Art thou greater than our father Abraham, ...
- John 8:57 ... unto him, Thou art not yet fifty years old, ...
- John 11:30 Now Jesus was not yet come into the town, ...
- John 20:17 ... not; for I am not yet ascended to my ...
- 1 Corinthians 3:2 ... not with meat: for hitherto ye were not able to bear it, neither ...
- 1 Corinthians 8:2 And if any man think that he knoweth any thing, ...
- Philippians 3:13 Brethren, I count not myself to have apprehended: ...
- Hebrews 2:8 ... But now we see not yet all things put under him.
- Hebrews 12:4 Ye have not yet resisted unto blood, striving ...
- 1 John 3:2 ... of God, and it doth not yet appear what we shall be: ...
- Revelation 17:10 ... one is, and the other is not yet come; and when ...
- Revelation 17:12 ... which have received no kingdom as yet; but receive ...
28. Matthew 24:6 Purpose of the end
Matthew 24:6 And ye shall hear of wars and rumours of wars: see that ye be not troubled: for all these things must come to pass, but the end is not yet. [kjv]
μελλησετε δε ακουειν πολεμους και ακοας πολεμων ορατε μη θροεισθε δει γαρ γενεσθαι αλλ ουπω εστιν το τελος [gnt]
The ancient Greek word
"τέλος" ≈ "end, purpose, complete". This word is used by Aristotle as that of
"purpose" or
"completeness" as the
"final" cause or
reason.
29. Matthew 24:6 Not yet
Matthew 24:6 And ye shall hear of wars and rumours of wars: see that ye be not troubled: for all these things must come to pass, but the end is not yet. [kjv]
μελλησετε δε ακουειν πολεμους και ακοας πολεμων ορατε μη θροεισθε δει γαρ γενεσθαι αλλ ουπω εστιν το τελος [gnt]
The ancient Greek word
"οὔπω" ≈ "not yet, not at all".
The
"hearing" of
"wars" and
"hear" or
"report" of
"wars" is
not a sign of the
final "
end times", because the
"end" or
"completion" or
"purpose" is
"not yet".
Since the time of Jesus, how many religious groups have been at
"war" with other religious groups? Has it ever happened that each group would
"cry out" in some way?
30. Matthew 24:6
KJV: And ye shall hear of wars and rumours of wars: see that ye be not troubled: for all these things must come to pass, but the end is not yet.
Greek: μελλησετε δε ακουειν πολεμους και ακοας πολεμων ορατε μη θροεισθε δει γαρ παντα γενεσθαι αλλ ουπω εστιν το τελος
Latin: audituri autem estis proelia et opiniones proeliorum videte ne turbemini oportet enim haec fieri sed nondum est finis
Wessex: Witodlice ge ge-hyreð feoht & ge-feohta hlisan. warnieð þt ge ne beon ge-drefaðe. Ðas þing sculen gewurðen. ac nys þanne geot se aende.
Wycliffe: For ye schulen here batels, and opyniouns of batels; se ye that ye be not disturblid; for it byhoueth these thingis to be don, but not yit is the ende.
Tyndale: Ye shall heare of warres and of the fame of warres: but se yt ye be not troubled. For all these thinges must come to passe but the ende is not yet.
31. Matthew 24:6 Cry out
Matthew 24:6 And ye shall hear of wars and rumours of wars: see that ye be not troubled: for all these things must come to pass, but the end is not yet. [kjv]
μελλησετε δε ακουειν πολεμους και ακοας πολεμων ορατε μη θροεισθε δει γαρ γενεσθαι αλλ ουπω εστιν το τελος [gnt]
When one
"hears" about
"wars", and
"hearings" of
"wars" (
not "rumors"), one is
not to
"cry out" that the
"end" has come. How many books have been written, etc., on what one
"hears" and then the
"end" is come?
Think the story of
chicken little.
The sky is falling!
Will Jesus ever talk about the "
sky" "
falling"? How about the "
stars" "
falling"?
32. Matthew 24:7 Against
Matthew 24:7 For nation shall rise against nation, and kingdom against kingdom: and there shall be famines, and pestilences, and earthquakes, in divers places. [kjv]
εγερθησεται γαρ εθνος επι εθνος και βασιλεια επι βασιλειαν και εσονται λιμοι και σεισμοι κατα τοπους [gnt]
The Greek word translated as
"against" is that of
"on". A context is needed for the meaning to be
"against". The ancient Greek word
"ἐπί" ≈ "on, upon" as in the prefix of the English word
"epicenter" which is, literally, "
on the center".
The Greek word translated as
"in" is that of
"against". Does this change the meaning of the verse?
Might religious and/or secular
"wars" be
"against" "places" rather than
"in" "places"? What might be some of those
"places"?
33. Matthew 24:7 Against
Matthew 24:7 For nation shall rise against nation, and kingdom against kingdom: and there shall be famines, and pestilences, and earthquakes, in divers places. [kjv]
εγερθησεται γαρ εθνος επι εθνος και βασιλεια επι βασιλειαν και εσονται λιμοι και σεισμοι κατα τοπους [gnt]
The Greek word translated as "
nation" is that of "
people".
"nation" "wake up" "nation".
"people" "on" "people"
"kingdom" "on" "kingdom"
Has this ever happened with religious groups rather than secular powers? How about religious groups that are secular powers?
Have religious groups ever
"woken up" or been
"resurrected" and then go
"against" or
"on" the previous religious establishment in some way? This could be based on the "
point in time" fallacy.
34. Matthew 24:7 Parsing ambiguity
Matthew 24:7 For nation shall rise against nation, and kingdom against kingdom: and there shall be famines, and pestilences, and earthquakes, in divers places. [kjv]
εγερθησεται γαρ εθνος επι εθνος και βασιλεια επι βασιλειαν και εσονται λιμοι και σεισμοι κατα τοπους [gnt]
What is the proper parsing of the first part of the verse? Does it make a difference?
shall waken therefore people on people and kingdom on kingdom and there shall be ... (Greek word order)
therefore people shall waken on people and kingdom on kingdom and there shall be ... (one way)
therefore people shall waken on people and kingdom shall waken on kingdom and there shall be ... (another way)
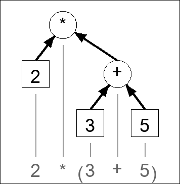
35. Matthew 24:7 Algebraic analogy
Matthew 24:7 For nation shall rise against nation, and kingdom against kingdom: and there shall be famines, and pestilences, and earthquakes, in divers places. [kjv]
εγερθησεται γαρ εθνος επι εθνος και βασιλεια επι βασιλειαν και εσονται λιμοι και σεισμοι κατα τοπους [gnt]
Algebraic analogy for the ambiguity:
2 * 3 + 5 (can be ambiguous)
2 * (3 + 5) = 2*3 + 2*5
(2 * 3) + 5
36. Simple parsing ambiguity example
 |
 |
1. Default precedence.
|
2. Non-default precedence
|
What is the value of the expression
2*3+5?
Math people tend to think in terms of text and parentheses.
Computer people tend to think in terms of trees without parentheses.
Changing the root changes the implicit parentheses.
A
syntax tree, similar to a
sentence diagram does not help decide the meaning since the
syntax tree depicts the meaning as decided by the precedence rules. The usual mathematical rule is that multiplication is done first and then addition. Natural language does not have such default rules.
Without rules on operator precedence, the value is ambiguous. Mathematics tends to use parentheses to disambiguate. Computer science tends to use trees since trees are used internally for computational ordering. The parentheses disappear inside the computer. Here are two ways to parse
2*3+5.
37. Matthew 24:7 History
Matthew 24:7 For nation shall rise against nation, and kingdom against kingdom: and there shall be famines, and pestilences, and earthquakes, in divers places. [kjv]
εγερθησεται γαρ εθνος επι εθνος και βασιλεια επι βασιλειαν και εσονται λιμοι και σεισμοι κατα τοπους [gnt]
The word for "rise" is that of "waking up" (first word of the verse in Greek).
The word "nation" is that of "people". Before, 1776 "kings" waged war. After 1776, "people" and "kingdoms" waged war.
Might this have happened with the American Revolution in 1776 followed by the French Revolution in 1789 and revolutions thereafter? These were essentially people waking up on/against other people and kingdoms waking up on/against other kingdoms. The result were civilian and soldier deaths unheard of since ancient times.
38. Matthew 24:7 Famine and plague
Matthew 24:7 For nation shall rise against nation, and kingdom against kingdom: and there shall be famines, and pestilences, and earthquakes, in divers places. [kjv]
εγερθησεται γαρ εθνος επι εθνος και βασιλεια επι βασιλειαν και εσονται λιμοι και σεισμοι κατα τοπους [gnt]
The Greek words for
"famine" and
"plague" can be play on words. Today they would be pronounced the same.
"λιμός" ≈ "famine, hunger, starvation".
"λοιμός" ≈ "plague, pestilence".
Most modern
"famines" are man-made and not natural phenomena. Can there be a
"famine" of the truth of what Jesus actually said and meant?
Matthew records
"famines", and
"earthquakes". It appears that people remembered one or the other and related that to Luke who used both words. The additional word
"pestilence", from the Latin, was then added in Matthew by the
TR (Textus Receptus).
39. Matthew 24:7 Earthquakes
Matthew 24:7 For nation shall rise against nation, and kingdom against kingdom: and there shall be famines, and pestilences, and earthquakes, in divers places. [kjv]
εγερθησεται γαρ εθνος επι εθνος και βασιλεια επι βασιλειαν και εσονται λιμοι και σεισμοι κατα τοπους [gnt]
Since
"famines" and
"plagues" are play on words, perhaps
"earthquakes" is too. The ancient Greek word
"σεισμός" ≈ "shaking, shock, earthquake" which is the source of the English word
"seismic".
The ancient Greek word
"σεισμοι" ≈ "earthquakes" is used
only in this exact form in the similar verses in Matthew, Mark and Luke. It is not in the
LXX (Septuagint).
Aristotle uses it when discussing literal earthquakes.
40. Matthew 24:7
Matthew 24:7 For nation shall rise against nation, and kingdom against kingdom: and there shall be famines, and pestilences, and earthquakes, in divers places. [kjv]
εγερθησεται γαρ εθνος επι εθνος και βασιλεια επι βασιλειαν και εσονται λιμοι και σεισμοι κατα τοπους [gnt]
"σεισμοι" ≈ "earthquakes"
"σης" ≈ "your, yours" (genitive, used by disciples in verse 3) and "μοι" ≈ "me" (dative).
Can a
"yours" with respect to "me" (Jesus is speaking) adversarial relationship cause issues? How about
"earthquakes"?
Can the
"yours" and
"me" relationship cause spiritual
"earthquakes"?
41. Isaiah 50:9 Your moth
Isaiah 50:9 Behold, the Lord GOD will help me; who is he that shall condemn me? lo, they all shall wax old as a garment; the moth` shall eat them up. [kjv]
ιδου κυριος βοηθει μοι τις κακωσει με ιδου παντες υμεις ως ιματιον παλαιωθησεσθε και ως σης καταφαγεται υμας [lxx]
The Greek word for
"your" or
"yours" is translated as
"moth" in the "
treasure" verses in the Sermon on the Mount. This is where, instead of the contorted "
where moth and rust corrupt", the Greek is "
where you and your food disappear".
The ancient Greek word
"σης" ≈ "your, yours".
42. Isaiah 50:9
KJV: Behold, the Lord GOD will help me; who is he that shall condemn me? lo, they all shall wax old as a garment; the moth shall eat them up.
Hebrew: הן אדני יהוה יעזר לי מי הוא ירשיעני הן כלם כבגד יבלו עש יאכלם׃
Greek: ιδου κυριος βοηθει μοι τις κακωσει με ιδου παντες υμεις ως ιματιον παλαιωθησεσθε και ως σης καταφαγεται υμας
43. Matthew 24:3 Yours
Matthew 24:3 And as he sat upon the mount of Olives, the disciples came unto him privately, saying, Tell us, when shall these things be? and what shall be the sign of thy coming, and of the end of the world? [kjv]
καθημενου δε αυτου επι του ορους των ελαιων προσηλθον αυτω οι μαθηται κατ ιδιαν λεγοντες ειπον ημιν ποτε ταυτα εσται και τι το σημειον της σης παρουσιας και συντελειας του αιωνος [gnt]
The ancient Greek word
"σης" ≈ "your, yours" (genitive, used by disciples in verse 3).
The Greek word for
"your" is translated as
"moth" in the "
treasure" verses in the Sermon on the Mount. This is where, instead of the contorted "
where moth and rust corrupt", the Greek is "
where you and your food disappear".
44. Matthew 4:9 Bowing down
Matthew 4:9 And saith unto him, All these things will I give thee, if thou wilt fall down and worship me. [kjv]
και ειπεν αυτω ταυτα σοι παντα δωσω εαν πεσων προσκυνησης μοι [gnt]
The devil is speaking to Jesus in the examinations (temptations) of Jesus.
The ancient Greek word
"μοι" ≈ "me" (dative).
The ancient Greek word
"προσκυνέω" ≈ "worship, bow down" and comes from
"πρός" ≈ "to, towards" and
"κυνέω" ≈ "to kiss".
Would
"bowing down" to or
"worshiping" the devil lead to
"earthquakes"?
45. Matthew 4:9 Earthquakes
Matthew 4:9 And saith unto him, All these things will I give thee, if thou wilt fall down and worship me. [kjv]
και ειπεν αυτω ταυτα σοι παντα δωσω εαν πεσων προσκυνησης μοι [gnt]
"σεισμοι" ≈ "earthquakes" .
"σης" ≈ "your, yours" (genitive).
"μοι" ≈ "me" (dative).
The end part of the Greek word
"worship" followed by
"me", when combined, is a play on words with the Greek word for
"earthquakes".
46. Matthew 4:9
KJV: And saith unto him, All these things will I give thee, if thou wilt fall down and worship me.
Greek: και λεγει ειπεν αυτω ταυτα παντα σοι παντα δωσω εαν πεσων προσκυνησης μοι
47. Matthew 24:7 Against
Matthew 24:7 For nation shall rise against nation, and kingdom against kingdom: and there shall be famines, and pestilences, and earthquakes, in divers places. [kjv]
εγερθησεται γαρ εθνος επι εθνος και βασιλεια επι βασιλειαν και εσονται λιμοι και σεισμοι κατα τοπους [gnt]
Since the word modified,
"places", is
accusative, the Greek word translated as
"in" (divers places) is that of "
downwards" or "
towards" or "
according to". It could be "
and then".
"κατά" ≈ "against, opposing, into" (genitive)
"κατά" ≈ "downwards, towards, according to" (accusative)
"κᾷτα" ≈ "and then" as a short form of "καὶ εἶτᾰ" ≈ "and then". This shows how vowels can slide over time.
The "
divers" as in "
diverse" appears to be inferred.
48. Matthew 24:7 Place a foot note
Matthew 24:7 For nation shall rise against nation, and kingdom against kingdom: and there shall be famines, and pestilences, and earthquakes, in divers places. [kjv]
εγερθησεται γαρ εθνος επι εθνος και βασιλεια επι βασιλειαν και εσονται λιμοι και σεισμοι κατα τοπους [gnt]
The ancient Greek word
"τόπος" ≈ "place" and is the source of the English word
"topology" as the study of shapes.
"τοπους" ≈ "places" (accusative plural)
"το" ≈ "the" (neuter)
"ο πούς" ≈ "the foot, the leg" and is used by Jesus to refer to a "fish" as in those following a false leader as a "bird".
This play on words would be said to be a Solecism as it would be understandable but not correct grammar.
49. Matthew 24:7
KJV: For nation shall rise against nation, and kingdom against kingdom: and there shall be famines, and pestilences, and earthquakes, in divers places.
Greek: εγερθησεται γαρ εθνος επι εθνος και βασιλεια επι βασιλειαν και εσονται λιμοι και λοιμοι και σεισμοι κατα τοπους
Latin: consurget enim gens in gentem et regnum in regnum et erunt pestilentiae et fames et terraemotus per loca
50. Luke 21:11 Great
Luke 21:11 And great earthquakes shall be in divers places, and famines, and pestilences; and fearful sights and great signs shall there be from heaven. [kjv]
σεισμοι τε μεγαλοι και κατα τοπους λοιμοι και λιμοι λιμοι και λοιμοι εσονται φοβηθρα τε και απ ουρανου σημεια μεγαλα εσται [gnt]
Luke twice adds
"great" which is not what Matthew recorded.
The ancient Greek word
"μεγας" ≈ "great" and is the source of the English prefix
"mega".
51. Luke 21:11
KJV: And great earthquakes shall be in divers places, and famines, and pestilences; and fearful sights and great signs shall there be from heaven.
Greek: σεισμοι τε μεγαλοικαι κατα τοπους λοιμοι και λιμοιλιμοι και λοιμοι εσονται φοβητρα φοβηθρα τε και σημεια απ ουρανου σημεια μεγαλα εσται
52. Ephesians 6:12 Review the opposition
Ephesians 6:12 For we wrestle not against flesh and blood, but against principalities, against powers, against the rulers of the darkness of this world, against spiritual wickedness in high places. [kjv]
οτι ουκ εστιν ημιν η παλη προς αιμα και σαρκα αλλα προς τας αρχας προς τας εξουσιας προς τους κοσμοκρατορας του σκοτους τουτου προς τα πνευματικα της πονηριας εν τοις επουρανιοις [gnt]
Summary of the
opposition (not some long ago and far away esoteric evil):
"wrestle" is a play on words with "again" and "of old".
"against" is that of "to" as in taking it "to" the opposition.
53. Ephesians 6:12 Review the opposition
Ephesians 6:12 For we wrestle not against flesh and blood, but against principalities, against powers, against the rulers of the darkness of this world, against spiritual wickedness in high places. [kjv]
"principalities" or "of old": generic evil at the start after the fall of the creation (base case)
"powers" or "lack of restraint": generic powers since the fall of the creation (step case)
"rulers" or "people power" of "darkness" in the "world": civil governments (external threat)
"wickedness" or "oppression" in "high places" or "heavenly places": religious institutions (internal threat)
[Roman times, Nazi times, modern times (e.g., certain theologians), etc.]
54. Verse table
Let us look ahead at a summary of verses. Do verses 6 and 7 refer to
secular wars and conflicts or
religious wars and conflicts? Can they fit both?
| 4 |
religious deception |
take heed to not be deceived |
| 5 |
religious deception |
impersonators of Christ |
| 6 |
? |
hearing of wars and reports of wars |
| 7 |
? |
people on people and kingdoms on kingdoms |
| 8 |
religious beginning |
beginning of birth pangs |
| 9 |
religious persecution |
who (deceptions) |
| 10 |
religious entrapment |
who (deceptions) |
| 11 |
religious deception |
false prophets deceiving |
| 12 |
religious indifference |
iniquity and cold love |
| 13 |
religious ending |
endure to the end |
| 14 |
religious news |
preached in all the world |
| 15 |
religious prophecy |
abomination of desolation |
55. Matthew 24: Wars
Matthew 24:6 And ye shall hear of wars and rumours of wars: see that ye be not troubled: for all these things must come to pass, but the end is not yet. [kjv]
24:7 For nation shall rise against nation, and kingdom against kingdom: and there shall be famines, and pestilences, and earthquakes, in divers places. [kjv]
Jesus often uses nouns as code words that have other meanings. This is the
only verse in Matthew where Jesus uses the Greek word for
"war". The word is used by Jesus in Mark and Luke in a similar verse and in Luke in another verse.
What type of
"war" or battle is Jesus describing?
☐ Secular powers war
☐ Religious powers war
56. Matthew 24:8-14 Beginning of sorrows
Matthew 24:8 All these are the beginning of sorrows. [kjv]
παντα δε ταυτα αρχη ωδινων [gnt]
The
"all", with
"these" inferred, refers to what has just been listed either directly or indirectly (e.g., via play on words).
This is just the
"beginning". The ancient Greek word
"ἀρχή" ≈ "beginning, origin, sovereignty, authority" and could be the end of a rope, stick, etc., or the corner of a sheet. In context, it could be a
"rule". To accurately "
measure" with a
"ruler" you need to
persistently stick to it.
The ancient Greek word
"ὠδίς" ≈ "birth pains, travail, anguish".
57. End of page