Send
Close Add comments:
(status displays here)
Got it! This site "creationpie.org" uses cookies. You consent to this by clicking on "Got it!" or by continuing to use this website. Note: This appears on each machine/browser from which this site is accessed.
Election callings as used by Jesus
1. Election callings as used by Jesus
This content is being developed.
2. Matthew 22:14 Election callings of the chosen elect
Matthew 22:14 For many are called, but few are chosen. [kjv]
πολλοι γαρ εισιν κλητοι ολιγοι δε εκλεκτοι [gnt]
Who are the "many"?
What does it mean to be "called"?
How are the "many" culled to get the "few"?
Who are the "few"? Is there a curfew?
What does it mean to be "chosen"? Are the "chosen" nice? What is the mean value of the "chosen"?
Who are the
"elect"? How might being
"elected" differ from being
"called"? Can we
"vote" (e.g., use
opinion) on what this verse means? If you do not agree with the "
majority", might you be "
ostracized"? Is there "
rock" hard evidence? The "
sands" of "
time" will tell. Let us
cultivate some ideas much as one might
cull the
"birds".
Many (sheep of pray) are called. The few (birds of prey) are culled.
[code words]
3. Matthew 22:10-13 Parable of the wedding feast
Matthew 22:10 So those servants went out into the highways, and gathered together all as many as they found, both bad and good: and the wedding was furnished with guests. [kjv]
22:11 And when the king came in to see the guests, he saw there a man which had not on a wedding garment: [kjv]
22:12 And he saith unto him, Friend, how camest thou in hither not having a wedding garment? And he was speechless. [kjv]
22:13 Then said the king to the servants, Bind him hand and foot, and take him away, and cast him into outer darkness; there shall be weeping and gnashing of teeth. [kjv]
Who are the "many"? How were they "called"?
Who are the "few"? How many "few" are in these verses?
What happened to the "few" who were "chosen" or "elected"?
Why bind him "hand" and "foot"?
Who were those already "destroyed"?
[cherry picked verses]
4. Matthew 22:10-11 Many called and few chosen
Matthew 22:10 So those servants went out into the highways, and gathered together all as many as they found, both bad and good: and the wedding was furnished with guests. [kjv]
και εξελθοντες οι δουλοι εκεινοι εις τας οδους συνηγαγον παντας ους ευρον πονηρους τε και αγαθους και επλησθη ο νυμφων ανακειμενων [gnt]
22:11 And when the king came in to see the guests, he saw there a man which had not on a wedding garment: [kjv]
εισελθων δε ο βασιλευς θεασασθαι τους ανακειμενους ειδεν εκει ανθρωπον ουκ ενδεδυμενον ενδυμα γαμου [gnt]
[compiler theory and practice]
5. Matthew 22:12-14 Many called and few chosen
Matthew 22:12 And he saith unto him, Friend, how camest thou in hither not having a wedding garment? And he was speechless. [kjv]
και λεγει αυτω εταιρε πως εισηλθες ωδε μη εχων ενδυμα γαμου ο δε εφιμωθη [gnt]
22:13 Then said the king to the servants, Bind him hand and foot, and take him away, and cast him into outer darkness; there shall be weeping and gnashing of teeth. [kjv]
τοτε ο βασιλευς ειπεν τοις διακονοις δησαντες αυτου ποδας και χειρας εκβαλετε αυτον εις το σκοτος το εξωτερον εκει εσται ο κλαυθμος και ο βρυγμος των οδοντων [gnt]
22:14 For many are called, but few are chosen. [kjv]
πολλοι γαρ εισιν κλητοι ολιγοι δε εκλεκτοι [gnt]
6. Matthew 22:13-14 Many called and few chosen
Matthew 22:13 Then said the king to the servants, Bind him hand and foot, and take him away, and cast him into outer darkness; there shall be weeping and gnashing of teeth. [kjv]
22:14 For many are called, but few are chosen. [kjv]
πολλοι γαρ εισιν κλητοι ολιγοι δε εκλεκτοι [gnt]
"ὀλίγοι" ≈ "little in size, value, duration, etc." (plural).
"ὦ" ≈ "oh (joy or pain)".
"λυκοί" ≈ "wolves" (could be a type of "bird").
What does Jesus mean when he says that
"few" are
"chosen" or
"elected"? This verse is the
only verse where Jesus makes this distinction of
"many",
"called",
"few" and
"chosen".
Should the Biblical context, as recorded by Matthew, be used in determining the meaning of these words? Here are examples of multiple lists?
Santa: "naughty" and "nice".
Dean: "Dean's List" and "Dean's Other List".
What list or lists (sometimes called a book) does God have?
7. Matthew 7:13-14 Strait talk about narrow and wide gates
Matthew 7:13 Enter ye in at the strait gate: for wide is the gate, and broad is the way, that leadeth to destruction, and many there be which go in thereat: [kjv]
7:14 Because strait is the gate, and narrow is the way, which leadeth unto life, and few there be that find it. [kjv]
In Matthew 7, Jesus talks of the
"straight" "gate" and
"wide" "
area". The
TR (Textus Receptus) adds the
"gate" to the
"wide" "
area". What exactly is a
"strait" "gate"? The ancient Greek word
"πλατύς" ≈ "wide, flat" and is related to the English word
"flat" and
"platypus" as, literally, "
flat feet".
How
"many" is
"many"? How
"few" is
"few"?
What does the word translated as "leadeth" mean?
What is the "life"? Is this eternal "life"?
What is the "loss" - translated as "destruction"? Is this eternal "destruction"?
[Psalm 23, He Leadeth Me (hymn)]
8. Matthew 7:15 Sheep dogs and wolf dogs
Matthew 7:15 Beware of false prophets, which come to you in sheep's clothing, but inwardly they are ravening wolves. [kjv]
προσεχετε απο των ψευδοπροφητων οιτινες ερχονται προς υμας εν ενδυμασιν προβατων εσωθεν δε εισιν λυκοι αρπαγες [gnt]
Dogs are known as man's best friend. The
dog breed is related to the
wolf breed and can
interbreed. Two
dogs may appear similar, but one may be a
sheep dog and another a
wolf dog.
A sheep dog is like a bishop who travels around keeping the faithful in line.
A wolf dog or ravenous wolf is a (false ) leader or eye in the church not sparing the flock. Jesus uses the word "wolf" in a manner similar to how he refers to the "birds".
Jesus warns of this. It might be important and useful to distinguish these types of
dogs.
9. Matthew 7:14 And few wolves/birds
Matthew 7:14 Because strait is the gate, and narrow is the way, which leadeth unto life, and few there be that find it. [kjv]
οτι στενη η πυλη και τεθλιμμενη η οδος η απαγουσα εις την ζωην και ολιγοι εισιν οι ευρισκοντες αυτην [gnt]
Why might Jesus use the phrase
"and" "few"? My fish joke will
gill you!
Debate is very important to fisherman.
"και" ≈ "and" (conjunction).
"ὀλίγοι" ≈ "few, little, small" (plural) from "ὀλίγος" ≈ "few, little, small".
"καίω" ≈ "light, kindle, set on fire, burn, burn up, make very cold (frost)".
The ancient Greek word
"λυκοί" ≈ "wolves" (used in the next verse) from
"λύκος" ≈ "wolf" but could be a
"jackdaw",
"starling",
"thrush", or similar
bird.
Greek (as written): ... and few ...
Play on words: ... I burn wolves/birds ... (similarity of "g" and "k" sound)
10. Matthew 12:40 Jonah in the belly of the whale
Matthew 12:40 For as Jonas was … in the whale's belly; … [kjv]
ωσπερ γαρ ην ιωνας εν τη κοιλια του κητους … [gnt]
The
KJV (King James Version) moves the "
three" "
days" and "
three" "
nights" from
after the
"whale" to
before the
"belly". [temple woken up]
Greek: ... for as Jonah was in the belly of the whale ...
Play on words: ... for as the ages was (are) in the wolves of the wall ...
Might the
"wolves" and the
"wall" be related to the "
wide" "
area" connected by the "
narrow" "
gates"?
[Spoonerisms, Anabaptist book]
11. Election callings as used by Jesus
Matthew 22:14 For many are called, but few are chosen. [kjv]
πολλοι γαρ εισιν κλητοι ολιγοι δε εκλεκτοι [gnt]
24:22 And except those days should be shortened, there should no flesh be saved: but for the elect's sake those days shall be shortened. [kjv]
24:24 For there shall arise false Christs, and false prophets, and shall shew great signs and wonders; insomuch that, if it were possible, they shall deceive the very elect. [kjv]
24:31 And he shall send his angels with a great sound of a trumpet, and they shall gather together his elect from the four winds, from one end of heaven to the other. [kjv]
Jesus uses the noun for
"elect" or
"chosen" three times in Matthew 24 and
one other time, at the end of the Parable of the Wedding feast in Matthew 22. These nouns are either mistranslated in context or ambiguous in use (or both).
12. Matthew 24:3 Olivet Discourse
Matthew 24:3 And as he sat upon the mount of Olives, the disciples came unto him privately, saying, Tell us, when shall these things be? and what shall be the sign of thy coming, and of the end of the world? [kjv]
καθημενου δε αυτου επι του ορους των ελαιων προσηλθον αυτω οι μαθηται κατ ιδιαν λεγοντες ειπον ημιν ποτε ταυτα εσται και τι το σημειον της σης παρουσιας και συντελειας του αιωνος [gnt]
Paraphrase:
... Tell us, when will what you have just been saying be. That is, when will the religious establishment acknowledge what you have been saying about oppressing the believers at the bottom? When shall this cooperative effort take place into the ages?
Jesus then follows with an extended discourse. The apparent meaning of this extended discourse, called the Olivet Discourse, is that the cooperation that should happen will
never happen into the ages until the final end of time (as we know it) when heaven and earth will pass by. It will happen when pigs fly!
13. Combinatorics: Pigeonhole principle
Matthew 24:5 For many shall come in my name, saying, I am Christ; and shall deceive many. [kjv]
πολλοι γαρ ελευσονται επι τω ονοματι μου λεγοντες εγω ειμι ο χριστος και πολλους πλανησουσιν [gnt]
The field of
combinatorics has to do with arranging objects -
combination,
permutations, etc.
Pigeonhole principle: Pigeons are to be placed in pigeonholes. If there are more pigeons than there are pigeonholes, then at least one pigeonhole will have more than one pigeon.
By the
pigeonhole principle, if there are more than half of those who claim to follow
"Christ" who are a
false "Christs", then at least one person needs to be
self-deceived. As the number grows to all those in the domain, the number of self-deceived approaches everyone in the domain (structural induction). That would be
"many". Does Jesus ever talk of people being
"deceived" or
self "deceived" about what he says?
Note that a "
dove" (from a Germanic word) and a "
pigeon" (from a Latin word) are two names the same "
bird".
14. Matthew 24:6-8 Verses
Matthew 24:6 And ye shall hear of wars and rumours of wars: see that ye be not troubled: for all these things must come to pass, but the end is not yet. [kjv]
μελλησετε δε ακουειν πολεμους και ακοας πολεμων ορατε μη θροεισθε δει γαρ γενεσθαι αλλ ουπω εστιν το τελος [gnt]
24:7 For nation shall rise against nation, and kingdom against kingdom: and there shall be famines, and pestilences, and earthquakes, in divers places. [kjv]
εγερθησεται γαρ εθνος επι εθνος και βασιλεια επι βασιλειαν και εσονται λιμοι και σεισμοι κατα τοπους [gnt]
24:8 All these are the beginning of sorrows. [kjv]
παντα δε ταυτα αρχη ωδινων [gnt]
15. Matthew 24:9 Alternate paraphrase
Matthew 24:9 Then shall they deliver you up to be afflicted, and shall kill you: and ye shall be hated of all nations for my name's sake. [kjv]
τοτε παραδωσουσιν υμας εις θλιψιν και αποκτενουσιν υμας και εσεσθε μισουμενοι υπο παντων των εθνων δια το ονομα μου [gnt]
Alternate paraphrase (using Greek meanings and play on words):
Then shall they tradition (hand over) you into (peer and deceptive) pressure (affliction) and shall kill you (your soul, through deception) and you shall be hatefully rewarded under all those peoples through the (deceptive use of) my name.
Did Jesus warn about false teachers using his name and other deceptions in this discourse?
Why might this verse be related to those false teachers (and followers) and deceptions?
16. Matthew 24:21 Great peer pressure
Matthew 24:21 For then shall be great tribulation, such as was not since the beginning of the world to this time, no, nor ever shall be. [kjv]
εσται γαρ τοτε θλιψις μεγαλη οια ου γεγονεν απ αρχης κοσμου εως του νυν ουδ ου μη γενηται [gnt]
The ancient Greek word
"θλῖψις" ≈ "pressure" and,
figuratively,
"oppression",
"affliction", etc.
By the
pigeonhole principle, there is a lot of
self-deception. Might this include
peer pressure?
Paraphrase:
For then shall by great pressure (peer pressure) that has not been (come into being) since the beginning of the world (people in the world) until now, neither has ever been (come into being).
[broken cross, true vs. false]
17. Matthew 24:22 Christ's shortening
Matthew 24:22 And except those days should be shortened, there should no flesh be saved: but for the elect's sake those days shall be shortened. [kjv]
και ει μη εκολοβωθησαν αι ημεραι εκειναι ουκ αν εσωθη πασα σαρξ δια δε τους εκλεκτους κολοβωθησονται αι ημεραι εκειναι [gnt]
The analogy of "
Christ's"
"shortening" with "
Crisco"
"shortening" appears to be a
half-baked idea,
even (
oven) if the words sound similar. Let's put this idea on the
back burner.
To be
fully baked, perhaps something needs to be "
taken" and "
put" into a "
fire" pit of some kind. Perhaps "
outer" "
darkness" would be sufficient. Might the "
darkness" be achieved by "
darkening" the "
sun"? Such a "
darkness" might be similar to the "
blind" leading the "
blind".
18. Matthew 24:22 Greek word order
Matthew 24:22 And except those days should be shortened, there should no flesh be saved: but for the elect's sake those days shall be shortened. [kjv]
και ει μη εκολοβωθησαν αι ημεραι εκειναι ουκ αν εσωθη πασα σαρξ δια δε τους εκλεκτους κολοβωθησονται αι ημεραι εκειναι [gnt]
Greek word order:
and if not (potential) curtailed/shortened the days those not (actual) if saved all flesh through/by then/however of the elect curtailed/shortened the days those.
Jesus appears to be making a
logical statement. Some do not like the use of
logic on what Jesus says but, instead, prefer
opinion. Everyone can have one or more of a large number of
opinions on a matter. There are many fewer
logical views of that same matter.
To support the idea of the
"elect" or
"chosen" being
good, the Greek word
"by" or
"through" was translated as
"for".
Let us, however, here consider the logic of what Jesus is saying. To do that, we need to review some logic rules.
19. Lies
There are a terrible lot of lies going about the world, and the worst of it is that half of them are true. Winston Churchill (British statesman)

How might one determine what is
true and what is
not true?
20. Logical inference groups
| The following are all equivalent. |
| A implies B |
modens ponens |
| B if A |
(top down) |
| (not B) or A |
|
| (not B) implies (not A) |
modens tollens |
| A or (not B) |
|
|
 |
The two tables are
symmetric. Which one is
true? The other one is then
false.
If the above are
true, then the following are
not true or
false.
| The following are all equivalent. |
| B implies A |
converse error |
| A if B |
(top down) |
| (not A) or B |
|
| (not A) implies (not B) |
fact check fallacy |
| B or (not A) |
|
|
 |
There are a terrible lot of lies going about the world, and the worst of it is that half of them are true. Winston Churchill.
Note that if the bottom table is
true, then the top table is
not true or
false. To see this requires algebraic substitution of names for other names (as in a code). This is part of the programming process in computer science, software engineering, etc.
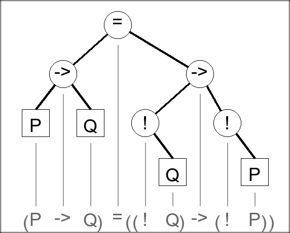
21. Modus ponens and modus tollens
 |
P Q | ( P -> Q ) = ( ( ! Q ) -> ( ! P ) )
-----------------------------------------
0 0 | ( 0 1 0 ) 1 ( ( 1 0 ) 1 ( 1 0 ) )
0 1 | ( 0 1 1 ) 1 ( ( 0 1 ) 1 ( 1 0 ) )
1 0 | ( 1 0 0 ) 1 ( ( 1 0 ) 0 ( 0 1 ) )
1 1 | ( 1 1 1 ) 1 ( ( 0 1 ) 1 ( 0 1 ) )
|
The expressions are the same since the values under the equal sign "
=" are all
1 or
true.
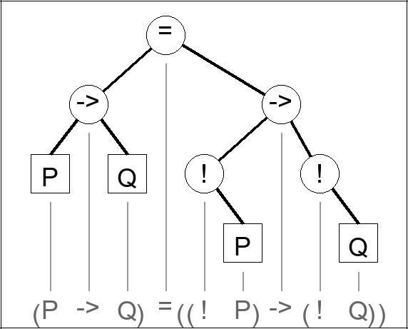
22. Implication is not the same as the fact check fallacy
 |
P Q | ( P -> Q ) = ( ( ! P ) -> ( ! Q ) )
-----------------------------------------
0 0 | ( 0 1 0 ) 1 ( ( 1 0 ) 1 ( 1 0 ) )
0 1 | ( 0 1 1 ) 0 ( ( 1 0 ) 0 ( 0 1 ) )
1 0 | ( 1 0 0 ) 0 ( ( 0 1 ) 1 ( 1 0 ) )
1 1 | ( 1 1 1 ) 1 ( ( 0 1 ) 1 ( 0 1 ) )
|
Here is an extended truth table proof that the
fact check fallacy is
not equivalent to
implication.
The expressions are
not the same since the values under the equal sign "
=" are
not all
1 or
true.
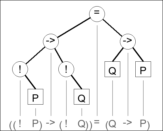
23. Fact check fallacy and converse error
 |
P Q | ( ( ! P ) -> ( ! Q ) ) = ( Q -> P )
-----------------------------------------
0 0 | ( ( 1 0 ) 1 ( 1 0 ) ) 1 ( 0 1 0 )
0 1 | ( ( 1 0 ) 0 ( 0 1 ) ) 1 ( 1 0 0 )
1 0 | ( ( 0 1 ) 1 ( 1 0 ) ) 1 ( 0 1 1 )
1 1 | ( ( 0 1 ) 1 ( 0 1 ) ) 1 ( 1 1 1 )
|
Here is an extended truth table proof that the
fact check fallacy is equivalent to the
converse error.
The expressions are the same since the values under the equal sign "
=" are all
1 or
true.
24. Matthew 24:22 Variable operands and operators
Matthew 24:22 And except those days should be shortened, there should no flesh be saved: but for the elect's sake those days shall be shortened. [kjv]
και ει μη εκολοβωθησαν αι ημεραι εκειναι ουκ αν εσωθη πασα σαρξ δια δε τους εκλεκτους κολοβωθησονται αι ημεραι εκειναι [gnt]
| Variable operands for the verse |
| X |
εκολοβωθησαν αι ημεραι εκειναι |
those days be shortened |
| X |
κολοβωθησονται αι ημεραι εκειναι |
those days be shortened |
| Y |
εσωθη πασα σαρξ |
saved all flesh |
| E |
δια (τους) εκλεκτους |
by the elect |
| Connective operators for the verse |
| if not |
ει μη |
if not |
| if not |
ουκ αν |
if not |
| but by |
δια δε |
through but |
To support the idea of a
good "elect". the Greek for
"by" or
"through" was changed (reversed) to
"for".
25. Matthew 24:22 Abstracted logic
Matthew 24:22 And except those days should be shortened, there should no flesh be saved: but for the elect's sake those days shall be shortened. [kjv]
Let
X be "
those days/parts be shortened or cut off",
Y be "
flesh saved",
E be
"elect".
1. if not X then not Y but by E is X. (as stated, modus tollens)
2. if Y then X but by E is X. (modus ponens)
E is self-deceived (surrounding verses) and decides that Y needs to be achieved (equivocation on "flesh" and "saved") by doing X (converse fallacy).
3. if X then Y but (since) by E is X. (converse fallacy by E)
E (deceived) decides that X needs to be done to get Y and convinces others "in this way/manner" (surrounding verses).
4. if not Y then not X but (since) by E is X. (restated as fact check fallacy)
In three verses, Jesus will remind us that he had told us this before.
26. Matthew 24:22 Paraphrase
Matthew 24:22 And except those days should be shortened, there should no flesh be saved: but for the elect's sake those days shall be shortened. [kjv]
και ει μη εκολοβωθησαν αι ημεραι εκειναι ουκ αν εσωθη πασα σαρξ δια δε τους εκλεκτους κολοβωθησονται αι ημεραι εκειναι [gnt]
Paraphrase using the above logic:
And if those days [parts there yes] were not cut off (horns/rules removed) no flesh would be saved, but though the (deceived) elect's (false) ideas, those days [parts there yes] will be cut off (horns/rules removed) in order to (invalid logic) save all flesh.
Jesus wants to "cut off" certain unnecessary horns/rules/parts (yoke of compulsion) in order to "save" "all" "flesh" in a "heavenly" manner.
The (deceived) "elect" want to "cut off" all horns/rules/parts in the (false) idea that this will "save" "all" "flesh" in a "worldly" manner.
Discuss: Has it ever happened that
false teachers want to "
cut off"
all horns/rules/parts in order that
all "
flesh" might be "
saved"? Does it help fill the pews (or their own salary)?
27. Matthew 24:23 Way of here and there manners
Matthew 24:23 Then if any man shall say unto you, Lo, here is Christ, or there; believe it not. [kjv]
τοτε εαν τις υμιν ειπη ιδου ωδε ο χριστος η ωδε μη πιστευσητε [gnt]
The ancient Greek word
"ὧδε" ≈ "in this way, thus" and comes from
"ὅδε" ≈ "this". Translating the word as
"here" loses the idea of the
manner or
way in which something is done.
KJV: ... here is Christ or there is Christ - do not believe it. (localized false Christ)
Greek word meaning: ... in this way/manner is Christ or in this way/manner is Christ - do not believe it. (general idea of a false Christ)
Discuss: Can one be a
false Christ if one repeats, in the
same manner/way, ideas that a
false Christ would say?
There is a
disjunction using
"or" in this verse.
28. Matthew 24:24 Elective deceptions
Matthew 24:24 For there shall arise false Christs, and false prophets, and shall shew great signs and wonders; insomuch that, if it were possible, they shall deceive the very elect. [kjv]
εγερθησονται γαρ ψευδοχριστοι και ψευδοπροφηται και δωσουσιν σημεια μεγαλα και τερατα ωστε πλανασθαι ει δυνατον και τους εκλεκτους [gnt]
To what does this refer?
The deception of the elect. Who are the
"elect"?
☐ Suppose the
"elect" are
good. Can the false Christs and false teachers
"deceive" the
"elect"?
☐ Suppose the
"elect" are
not good. Can the false Christs and false teachers
"deceive" the
"elect"?
☐ Suppose the
"elect" are the false Christs and false teachers. Can the
"elect" "deceive" themselves? That is, self-deception.
Is it
"potentially possible" to
"deceive" someone who is already
"deceived" or has
self "deceived"?
29. Matthew 24:24 Possible
Matthew 24:24 For there shall arise false Christs, and false prophets, and shall shew great signs and wonders; insomuch that, if it were possible, they shall deceive the very elect. [kjv]
Here is an analogy of a statement made by a lawyer defending his politician client accused of corruption.
Lawyer: There is not one shred of evidence that my client is corrupt.
Lawyer: And it is not possible that my client will become corrupt.
Here is an analogy for the
"elect"
There is not one shred of evidence that the elect are deceived.
And it is not possible that the elect will become deceived.
30. Matthew 24:25-31 Told before
Matthew 24:25 Behold, I have told you before. [kjv]
ιδου προειρηκα υμιν [gnt]
If Jesus tells them
"before" then has what he is now describing happened before?
31. Matthew 24:31 Angels choose the elect
Matthew 24:31 And he shall send his angels with a great sound of a trumpet, and they shall gather together his elect from the four winds, from one end of heaven to the other. [kjv]
και αποστελει τους αγγελους αυτου μετα σαλπιγγος μεγαλης και επισυναξουσιν τους εκλεκτους αυτου εκ των τεσσαρων ανεμων απ ακρων ουρανων εως των ακρων αυτων [gnt]
"τέσσαρες" ≈ "four".
"σαῦρος" ≈ "lizard".
"ἄνεμος" ≈ "wind"
"ἄνομος" ≈ "lawless, impious, unmusical"
Who are the
"elect"? Neither this verse nor the verse that follows (the fig tree) indicate what happens to the
"elect".
The Greek word translated as "four" can be a play on words with (four) "lizard".
The Greek word translated as "winds" can be a play on words with "against the law" or "iniquity".
32. Matthew 24:31
Matthew 24:31 And he shall send his angels with a great sound of a trumpet, and they shall gather together his elect from the four winds, from one end of heaven to the other. [kjv]
και αποστελει τους αγγελους αυτου μετα σαλπιγγος μεγαλης και επισυναξουσιν τους εκλεκτους αυτου εκ των τεσσαρων ανεμων απ ακρων ουρανων εως των ακρων αυτων [gnt]
The "angels" are the "reapers". There are many "trumpets" in Revelation.
The Greek word translated as "his" is that of "his/it" (masculine/neuter).
The "ends" are one point to another point, such as from the "beginning" of time, or "east", to the "end" of time, or "west".
33. Matthew 13:47-50 KP7 parable verses
The seventh kingdom parable is the harvest at the end of the age.
Matthew 13:47 Again, the kingdom of heaven is like unto a net, that was cast into the sea, and gathered of every kind: [kjv]
13:48 Which, when it was full, they drew to shore, and sat down, and gathered the good into vessels, but cast the bad away. [kjv]
Verses 49 and 50 appear to be a
restatement of verses 47 and 48.
13:49 So shall it be at the end of the world: the angels shall come forth, and sever the wicked from among the just, [kjv]
13:50 And shall cast them into the furnace of fire: there shall be wailing and gnashing of teeth. [kjv]
One assumes that there are "
fish" in the "
net" but this is
never stated. In real life, "
birds", "
animals" and other creatures might be caught in a "
net".
34. Chosen elect
Matthew 13:49 So shall it be at the end of the world: the angels shall come forth, and sever the wicked from among the just, [kjv]
ουτως εσται εν τη συντελεια του αιωνος εξελευσονται οι αγγελοι και αφοριουσιν τους πονηρους εκ μεσου των δικαιων [gnt]
13:50 And shall cast them into the furnace of fire: there shall be wailing and gnashing of teeth. [kjv]
και βαλουσιν αυτους εις την καμινον του πυρος εκει εσται ο κλαυθμος και ο βρυγμος των οδοντων [gnt]
24:31 And he shall send his angels with a great sound of a trumpet, and they shall gather together his elect from the four winds, from one end of heaven to the other. [kjv]
Are these verses a statement of basically the same idea? A good teacher often teaches the same thing in many different ways.
Who are the "chosen" or "elect" in these verses? What happens to them?
Is being one of the "elect" good or not good?
35. Matthew 24:40-41 Taken or left
Matthew 24:40 Then shall two be in the field; the one shall be taken, and the other left. [kjv]
τοτε εσονται δυο εν τω αγρω εις παραλαμβανεται και εις αφιεται [gnt]
24:41 Two women shall be grinding at the mill; the one shall be taken, and the other left. [kjv]
δυο αληθουσαι εν τω μυλω μια παραλαμβανεται και μια αφιεται [gnt]
The Greek for
"left" is often translated as
"forgiven". Where is the other
"taken"?
Is it better to be "taken over" or "left"?
Is it better to be "taken over" and "thrown out" (a few verses later) or "left" and/or "forgiven"?
The ancient Greek word
"παραλαμβάνω" ≈ "take over (by consent or force)". Literally, it is "
beyond"
"taking". How is this word to be taken in these verses? The only thing Jesus says you are to do is to
"take" is your "
cross" and "
follow" Him. However, Jesus is not bound by this
"take" restriction.
36. Matthew 24:51 End of the chapter
Matthew 24:51 And shall cut him asunder, and appoint him his portion with the hypocrites: there shall be weeping and gnashing of teeth. [kjv]
This ends the chapter of the Olivet Discourse on the End Times.
To where have the "hypocrites" or "pretenders" or "actors" gone? Who are the "many"?
Who are the "few"? What happened to them? Are these the "elect"?
Who are the "many" who are "left" or "forgiven"?
The discourse continue into chapter 25. Parables:
Ten virgins - destinations not directly stated but connected to the harvest at the end of the age (seventh kingdom parable).
Talents - "many" (two) "left", "few" (one) "taken" and cast into "outer" "darkness".
Sheep and Goats. The "sheep" are ""forgiven"" and "inherit" without "leaving". The "goats" "taken" away into "everlasting" "punishment".
37. Millerism
Millerites were followers of
William Miller (1782-1849) in a movement called
Millerism. Miller was a Baptist lay preacher in northeast New York state. From his study of selected parts of English translations of the Bible, Miller predicted the Second Coming of Christ in the 1840's. Some followers of this movement became
Adventists such as the Seventh Day Adventists.
38. John Nelson Darby
John Nelson Darby (1800-1882) as Anglo-American Bible teacher and his theory of the
rapture from cherry-picked English translations of the Bible.
Called the father of modern sensationalism. Darby had ideas that led to ideas of
inerrancy and
infallibly of the
scriptures.
[Darby Bibles - German (1871), French (1859), English (1870) - translated from the Hebrew and Greek (as understood from the Latin)]
[Ehrman comments on the Darby, rapture, etc. (to be added)]
39. Cyrus Scofield
Cyrus Scofield (1843-1921) and his
Scofield Reference Bible (1909, 1917, etc.) with concordance, index, cross references, etc. (dispensations)
Prior to World War I, there was a cultural optimism as if the millennium of the Bible had already arrived.
Many ideas were cultivated as fulfilling prophecy. Part of this was a homeland for the return of Israel.
[Ehrman comments on the Scofield, rapture, etc. (to be added)]
40. Hal Lindsey
Hal Lindsey (1929-2024) was an American evangelical writer and television host. His 1970 book
The Late Great Planet Earth, based in ideas of the
rapture, sold (to date) almost 30 millions copies.
His TV series was called
The Hal Lindsey Report.
There were many follow-on books. The basic idea was that current events showed that the end time rapture was about to happen.
As with any such predictions, a house of cards in constructed by cherry-picking Bible verses, many using the English meaning of the translation. If any card turns out to not be what it was assumed to be. the entire house starts to fall. That fall could be great.
41. Left behind
The "
Left behind" series of books (1995-2007) by Tim LaHay (1926-2016) and Jerry B. Jenkins deals with the tribulation period in the Bible in general and the rapture in particular.
BIBLE (Basic Instructions Before Leaving Earth),
Much of the stories are based on the Bible but make certain assumptions that may or may not be true.
In particular, the idea that bodies will just disappear is assumed. It may happen that just the soul disappears and those that are left, after some major global catastrophe, do not realize that the rapture has happened.
42. Rapture and toilet paper
One idea many people have about the rapture, much of it from the Left Behind series of books, is that all believers will disappear.
This is similar to the shelves of toilet paper disappearing as a result of panic buying. This leads to the phrase, "
When the roll is called up yonder" from the hymn of the same name.
43. Brief history highlights
Jesus and cursed fig tree. Danger of moving mountains/definitions.
Jesus and the house, temple, end times.
Latin mistranslations to divert attention. Means, motive, opportunity.
English translation of Latin. Consequent English word meaning changes.
English cherry-picking of verses, inerrancy, whisper chain, etc., by Darby, Miller, Schofield, Hal Lindsey, La Haye, etc.
Adoption by conservative movements (some true, much not true)
Opposite reaction and adoption by liberal movements (some true, much not true).
44. Election callings us used by others and not Jesus
Matthew 22:14 For many are called, but few are chosen. [kjv]
πολλοι γαρ εισιν κλητοι ολιγοι δε εκλεκτοι [gnt]
"ὀλίγοι" ≈ "little in size, value, duration, etc." (plural).
"ὦ" ≈ "oh (joy or pain)".
"λυκοί" ≈ "wolves" (could be a type of "bird").
Jesus appears to use the Greek word for
"elect" in a
not good way. The corresponding "
verb" form is not a code word, but, in general, may be a play on words.
Others appear to use the word
"elect" in a way
not used by Jesus, Paul, Peter, etc., may not know that when Jesus uses a particular noun, it is a code word. Thus, others may use the word in the normal meaning sense.
Let us investigate some other usages of the word for
"elect".
45. End of page