Send
Close Add comments:
(status displays here)
Got it! This site "creationpie.org" uses cookies. You consent to this by clicking on "Got it!" or by continuing to use this website. Note: This appears on each machine/browser from which this site is accessed.
United Methodist vision statement
1. United Methodist vision statement
This content is being developed.
2. Vision and mission statements
Many organizations, including churches, confuse mission and vision statements.
A mission statement defines an organization's core purpose and how it will achieve its objectives, focusing on the present and how it serves its target audience.
A vision statement, on the other hand, outlines the desired future state of the organization, inspiring employees and stakeholders with a long-term goal.
Google AI Overview. (as of 2025-05-14)
[BPR definitions]
3. Chiques Church
Chiques Church between Elizabethtown and Manheim, PA.
Chiques Church is a non-denominational, Bible believing church that separated from the Church of the Brethren in 2020 and became independent. This separation was due to theological differences regarding the authority of scripture and human sexuality as the Church of the Brethren denomination continued to become more progressive in their theology. Chiques Church has Anabaptist and pietistic roots that stem back to 1708.
Mission:
Worshiping God
Reaching people
Making disciples of Jesus Christ
https://www.chiqueschurch.com (as of 2025-05-07)
4. Word of Life Chapel
Word of Life Chapel in Bainbridge, PA, was founded by Abram Gish.
Vision: Building the Body for Reaching Our World (Eph. 4:11-16)
Here's how we do it:
1. KNOW. We seek to know Jesus more in grace & truth (Jn. 1:14, 2 Pet. 3:18, Phil. 3:8, Hos. 6:3, Isa. 43:10)
2. GROW. We seek to follow Jesus together as Cross bearing disciples (Matt. 16:24, 1 Cor. 3:6, Jn. 6:66-69)
3. SHOW. We seek to share in word and work the Gospel that has changed us (Eph. 2:1-10, 2 Thes. 2:16-17, Matt. 28:19-20)
https://wordoflifechapel.org/ (as of 2025-05-07)
5. Risser Mennonite Church
Risser Mennonite Church outside Elizabethtown, PA. Founded in 1775.
250th Anniversary in summer of 2025.
Mission: A Spirit-led movement to:
Make disciples of Jesus,
Mobilize every member as a missionary, and
Multiply faith communities locally and beyond!
https://lmcchurches.org/directory/risser-mennonite-church/ (as of 2025-05-07)
6. Focus on Elizabethtown 1997
How has St. Paul's United Methodist Church changed since 1997?
How has the United Methodist Church changed since 1997?
7. Council of Bishops: Introduction
The United Methodist Church Unveils New Guiding Vision Statement 5/1/2025 - Ministries
FOR IMMEDIATE RELEASE May 1, 2025
CHICAGO, IL – The Council of Bishops, in conjunction with the Connectional Table, is pleased to announce the unveiling of a new vision statement for The United Methodist Church. This vision reflects the Church's deep commitment to embodying God's dream for the world.
8. United Methodist vision statement
The United Methodist Church forms disciples of Jesus Christ who, empowered by the Holy Spirit, love boldly, serve joyfully, and lead courageously in local communities and worldwide connections. (released 2025-05-01)
Does the church form disciples? Does the Holy Spirit form disciples?
What does it mean to love boldly? Does Jesus ever use the Greek word for boldly?
Does Jesus ever say to lead? Does Jesus ever say not to lead?
Does Jesus ever use a word for courageous?
What does Jesus actually say?
Better check out the
fine print. To be continued.
 |
Details are left as a future topic.
|
9. Longstanding mission statement
This vision statement complements the Church's longstanding mission statement, inspired by Matthew 28:1-20: "The mission of The United Methodist Church is to make disciples of Jesus Christ for the transformation of the world."
It does
not appear that Matthew 28:1-17 have much to do with any mission.
28:1-10 Empty tomb and Jesus
28:11-15 Guards and stories about deceptions
28:16-17: Direction to meet in Galilee and wait.
The important verses as to
mission are Matthew 28:18-20 (Great Commission).
10. Matthew 28:18-20
Matthew 28:18 And Jesus came and spake unto them, saying, All power is given unto me in heaven and in earth. [kjv]
και προσελθων ο ιησους ελαλησεν αυτοις λεγων εδοθη μοι πασα εξουσια εν ουρανω και επι της γης [gnt]
28:19 Go ye therefore, and teach all nations, baptizing them in the name of the Father, and of the Son, and of the Holy Ghost: [kjv]
πορευθεντες ουν μαθητευσατε παντα τα εθνη βαπτιζοντες αυτους εις το ονομα του πατρος και του υιου και του αγιου πνευματος [gnt]
28:20 Teaching them to observe all things whatsoever I have commanded you: and, lo, I am with you alway, even unto the end of the world. Amen. [kjv]
διδασκοντες αυτους τηρειν παντα οσα ενετειλαμην υμιν και ιδου εγω μεθ υμων ειμι πασας τας ημερας εως της συντελειας του αιωνος [gnt]
11. Matthew 28:19-20 Commands
Matthew 28:19 Go ye therefore, and teach all nations, baptizing them in the name of the Father, and of the Son, and of the Holy Ghost: [kjv]
28:20 Teaching them to observe all things whatsoever I have commanded you: and, lo, I am with you alway, even unto the end of the world. Amen. [kjv]
Where does Jesus say you are to "
transform" the "
world"?
Jesus says to do what he has said to do. If you do this, the world may be transformed. Turning this around leads to ambiguity and deception. Compare and contrast the following goals.
Goal: Do what Jesus has commanded. That is, "teach" the world about Jesus and what Jesus has commanded.
Goal: Transform the world. That is, become a "leader" to be great and "influence" people, even if through force or deception. Does the "end" justify the "means"?
12. Social and political change
Be the change you wish to see in the world. Mahatma Gandhi (Indian lawyer and political activist) . This is a popular paraphrase of a longer quote by
Mahatma Gandhi. One must distinguish between social change, political change, etc., and the basis and reasoning for that change.
On Friday, August 16, 1946, the day before the World War II Victory Parade in Elizabethtown, PA, 10,000 people were killed in
Calcutta during
Direct Action Day protest. Gandhi represented the Hindu side.
Does Jesus call on followers to "
transform" the "
world"? How might such a statement be deceptive and open to exploitation and oppression, including self-oppression.
13. Vision
The vision encourages United Methodists to embody the following principles: (below)
14. Love boldly
Love Boldly: Passionately love God and, like Jesus, embrace and include people of every age, nation, race, gender and walk of life. Inspired by Matthew 22:37-39 and John 13:34-35
Does passionately loving God include following God's rules? What are God's rules?
Did Jesus embrace and include the religious elite?
Did Jesus embrace and include those who did not share his vision? See John 6.
How many genders did Jesus recognize? Matthew 19 (and other places).
In Matthew 22:37-39, Jesus says to love neighbor as oneself. That is, do
not do anything for a neighbor that would violate God's laws. In John 13:34-35, Jesus is talking to follow
believers.
What are some differences between loving fellow believers and loving neighbors?
15. Love neighbor as yourself
16. Song: They will know we are Christians
John 13:35 By this shall all men know that ye are my disciples, if ye have love one to another. [kjv]
εν τουτω γνωσονται παντες οτι εμοι μαθηται εστε εαν αγαπην εχητε εν αλληλοις [gnt]
As a choir director and parish priest in Chicago, Peter Scholtes (1938-2009)he could not find an appropriate song and wrote "
They will know we are Christians" in a day in 1966.

Peter Scholtes wrote the book
The Leader's Handbook (1998) where he argued against performance appraisal - deeming it demoralizing and not proper.
17. John 13:34-35 Love one another
John 13:34 A new commandment I give unto you, That ye love one another. as I have loved you, that ye also love one another. [kjv]
εντολην καινην διδωμι υμιν ινα αγαπατε αλληλους καθως ηγαπησα υμας ινα και υμεις αγαπατε αλληλους [gnt]
13:35 By this shall all men know that ye are my disciples, if ye have love one to another. [kjv]
εν τουτω γνωσονται παντες οτι εμοι μαθηται εστε εαν αγαπην εχητε εν αλληλοις [gnt]
The Greek word translated as "
another" is that of "
another (similar)" and
not "
another (different)". The Greek word translated as "
all" is that of "
all" within the context of what is being said.
Jesus is talking to believers. Some pastors will extend this to everyone in the world such that even if the culture goes against God, one should accept that behavior. The Greek has two words for "
other": "
similar other" and "
different other". The word here is the "
similar other".
All the Gospels and Paul say "
love neighbor as yourself". Many pastors leave out the "
as yourself" which is a negative feedback loop so that one does not go against God's laws in loving one's neighbor.
18. Other similar differences
Greek has
two words for
"others" as in others that are
"similar" and others that are
"different" whereas English has the
one word
"other"
| English |
Greek |
Greek |
| other |
other (similar) |
ἄλλος |
| other |
other (different) |
ἕτερος |
|
 |
The ancient Greek word
"ἄλλος" ≈ "other - similar" and is related to the English word
"else".
The ancient Greek word
"ἕτερος" ≈ "other - different" and is related to the English word
"asunder" as in "
one or the other of two" and is the prefix of English words such as "
heterosexual".
19. Others that are different
Acts 2:12 And they were all amazed, and were in doubt, saying one to another, What meaneth this? [kjv]
εξισταντο δε παντες και διηπορουντο αλλος προς αλλον λεγοντες τι θελει τουτο ειναι [gnt]
2:13 Others mocking said, These men are full of new wine. [kjv]
ετεροι δε διαχλευαζοντες ελεγον οτι γλευκους μεμεστωμενοι εισιν [gnt]
We see this distinction of
"others" in verses 12 with others that are
"similar" and in verse 13 with others that are
"different".
20. Both love your God and love your neighbor as yourself needed
Jesus clearly states the two laws on which the law and the prophets hang in Mark 12:30-31 (and elsewhere).
Law/Pearl 1: Love God (and the rules of God).
Law/Pearl 2: Love your neighbor as yourself.
Some churches omit the "
as yourself" in order to help get world culture (that goes against the rules of God) into their church.
The religious establishment at the time of Jesus emphasized law 1, "Love your God", but ignored law 2, "Love your neighbor as yourself" rule. This is, literally, "against the law" (of God).
According to Jesus, both rules are needed. What happens if the religious establishment ignores "Love your God" and emphasizes only "Love your neighbor" and often leaves out "as yourself"? This is, literally, "against the law" (of God)
21. John 15:18-19 Hate of the world
John 15:18 If the world hate you, ye know that it hated me before it hated you. [kjv]
ει ο κοσμος υμας μισει γινωσκετε οτι εμε πρωτον υμων μεμισηκεν [gnt]
15:19 If ye were of the world, the world would love his own: but because ye are not of the world, but I have chosen you out of the world, therefore the world hateth you. [kjv]
ει εκ του κοσμου ητε ο κοσμος αν το ιδιον εφιλει οτι δε εκ του κοσμου ουκ εστε αλλ εγω εξελεξαμην υμας εκ του κοσμου δια τουτο μισει υμας ο κοσμος [gnt]
Can the
"universe" "hate"? Saying:
Statistics means nothing to a rock.
The ancient Greek word
"μισέω" ≈ "hate" and is from
"μῖσος" ≈ "hatred, hate" and appears to be pre-Greek in origin. It is the source of the first part of the English word
"misogynist" as someone who
"hates" "
women". Jesus says that the world will
"hate" his followers because the world
"hates" Jesus (and God). The church is the bride of Christ who is the groom. Does this make the
"world" a "
misogynist"?
If the
"(people in the) world" loves it's own, is it possible to "
out-love" the
"world" without becoming of the
"world"?
22. Modus tollens
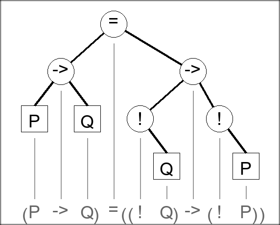
23. Modus ponens and modus tollens
 |
P Q | ( P -> Q ) = ( ( ! Q ) -> ( ! P ) )
-----------------------------------------
0 0 | ( 0 1 0 ) 1 ( ( 1 0 ) 1 ( 1 0 ) )
0 1 | ( 0 1 1 ) 1 ( ( 0 1 ) 1 ( 1 0 ) )
1 0 | ( 1 0 0 ) 1 ( ( 1 0 ) 0 ( 0 1 ) )
1 1 | ( 1 1 1 ) 1 ( ( 0 1 ) 1 ( 0 1 ) )
|
Here is an extended truth table proof that
modus ponens and
modus tollens are related such that when one holds the other holds (for the same logical variables).
That is
P implies Q
can be interchanged (i.e., is equivalent to)
(not Q) implies (not P).
To see this in the proof table, note that all values under the equal sign "
=" are
1 as
true.
24. Modus tollens
The propositional logic rule "
P implies Q" is equivalent to "
not Q implies not P". This rule is called
modus tollens. One can apply
modus tollens to what Jesus says in John. Let
P and
Q be the following.
P is "you follow Jesus".
Q is "the world hates you".
The following then follow. Assume that the
opposite of
"hate" is
"love".
Define "world". Define "world" as the word is used by Jesus.
Modus ponens: If P: "you follow Jesus", then Q: "the world hates you".
Modus tollens: If not Q: "the world does not hate you" then not P: "you do not follow Jesus".
Modus tollens: If not Q: "the world loves you" then not P: "you do not follow Jesus".
25. Modus tollens
Consider the result:
Modus tollens: If "the world loves you" then "you do not follow Jesus".
Discuss:
Should you try to get the world to love (not hate) you?
Should you try to love the world?
Should you try to out-love the world? What does that mean?
If a statement is ambiguous (i.e., can be taken in more than one way), then is it a good idea to use such a statement as, for example, a vision statement?
[peacemakers]
26. Server Joyfully
Serve Joyfully: With a Christ-like heart, journey alongside the most vulnerable, offering care and compassion with joy. Inspired by Psalm 100:1, Nehemiah 8:10, John 13:14-15 and 1 Peter 4:10
Are we to limit our heart and journey to just the most vulnerable?
Why is this part of the vision so restrictive? Was
Zacchaeus among the most vulnerable? How about the rich young man/ruler? How about
Nicodemus? Why not include everyone and anyone willing to listen and learn (and do)? Is not that what teach means?
Daniel used engineering, science, logic, etc., to tactfully witness to those in charge. How does what Daniel did fit into the vision statement?
27. Psalms 100:1 Joyful noises
Psalms 100:1 Make a joyful noise unto the LORD, all ye lands. [kjv]
ψαλμος εις εξομολογησιν αλαλαξατε τω κυριω πασα η γη [lxx]
canticum … gratiarum actione [v]
The underlying Hebrew word is not the same word as the Greek word used in the
LXX (Septuagint) which says to "
strongly" "
agree" in making a "
noise" to the Lord.
28. Matthew 18:13 Questionable statement
Consider the one lost sheep and the ninety-nine sheep that did not go astray.
Matthew 18:13 And if so be that he find it, verily I say unto you, he rejoiceth more of that sheep, than of the ninety and nine which went not astray. [kjv]
και εαν γενηται ευρειν αυτο αμην λεγω υμιν οτι χαιρει επ αυτω μαλλον η επι τοις ενενηκοντα εννεα τοις μη πεπλανημενοις [gnt]
Greek word order:
and if come-into-being find he/it amen/verily I-say to-you that rejoices on he/it rather or on the ninety nine that not gone-astray.
The Greek word translated as
"than" is the ancient Greek word
"ἢ" ≈ "or" as a
disjunction. In Greek, a statement can be made a question just by changing the way the end of the statement is pronounced. You hear it. Right?
Paraphrase (as a question):
And if (it) comes into being that he find it (the lost sheep), verily I say to you, does he rejoice rather on it or on the ninety nine that did not go astray?
29. Matthew 18:13 Questionable statement
Matthew 18:13 And if so be that he find it, verily I say unto you, he rejoiceth more of that sheep, than of the ninety and nine which went not astray. [kjv]
και εαν γενηται ευρειν αυτο αμην λεγω υμιν οτι χαιρει επ αυτω μαλλον η επι τοις ενενηκοντα εννεα τοις μη πεπλανημενοις [gnt]
Paraphrase (as a question):
And if (it) comes into being that he find it (the lost sheep), verily I say to you, does he rejoice rather on it or on the ninety nine that did not go astray?
There are (at least) three possible answers to the question.
He rejoices over the lost sheep more than the not-lost sheep.
He rejoices over the lost sheep the same than the not-lost sheep.
He rejoices over the lost sheep less than the not-lost sheep.
Discuss: How many sermons make deep theological points on what appears to be a question for discussion rather than a statement of fact?
30. Nehemiah 8:10
Nehemiah 8:10 Then he said unto them, Go your way, eat the fat, and drink the sweet, and send portions unto them for whom nothing is prepared: for this day is holy unto our Lord: neither be ye sorry; for the joy of the LORD is your strength. [kjv]
And the governor said to them, Go, eat the fat, and drink the sweet, and send portions to them that have nothing; for the day is holy to our Lord: and faint not, for the Lord is our strength. [bs3]
It is always interesting when a verse is cherry-picked out of the
OT (Old Testament). In such cases, it is best to at least check the before and after verses.
31. Nehemiah 8:9-10
Nehemiah 8:9 And Nehemiah, which is the Tirshatha, and Ezra the priest the scribe, and the Levites that taught the people, said unto all the people, This day is holy unto the LORD your God; mourn not, nor weep. For all the people wept, when they heard the words of the law. [kjv]
8:10 Then he said unto them, Go your way, eat the fat, and drink the sweet, and send portions unto them for whom nothing is prepared: for this day is holy unto our Lord: neither be ye sorry; for the joy of the LORD is your strength. [kjv]
Do people "
weep" when they hear the "
words" of the "
law"? Do some people today try to ignore God's "
laws"? Do some people today try to obscure God's "
laws". Do some of these people reside in "
high places". Is this what Paul talks about as to "
spiritual wickedness" in "
heavenly places"?
The
LXX does not have the word "
joy".
32. Nehemiah 8:9
KJV: And Nehemiah, which is the Tirshatha, and Ezra the priest the scribe, and the Levites that taught the people, said unto all the people, This day is holy unto the LORD your God; mourn not, nor weep. For all the people wept, when they heard the words of the law.
Hebrew: ויאמר נחמיה הוא התרשתא ועזרא הכהן הספר והלוים המבינים את העם לכל העם היום קדש הוא ליהוה אלהיכם אל תתאבלו ואל תבכו כי בוכים כל העם כשמעם את דברי התורה׃
Greek: και ειπεν νεεμιας και εσδρας ο ιερευς και γραμματευς και οι λευιται οι συνετιζοντες τον λαον και ειπαν παντι τω λαω η ημερα αγια εστιν τω κυριω θεω ημων μη πενθειτε μηδε κλαιετε οτι εκλαιεν πας ο λαος ως ηκουσαν τους λογους του νομου
33. Nehemiah 8:10
KJV: Then he said unto them, Go your way, eat the fat, and drink the sweet, and send portions unto them for whom nothing is prepared: for this day is holy unto our Lord: neither be ye sorry; for the joy of the LORD is your strength.
Hebrew: ויאמר להם לכו אכלו משמנים ושתו ממתקים ושלחו מנות לאין נכון לו כי קדוש היום לאדנינו ואל תעצבו כי חדות יהוה היא מעזכם׃
Greek: και ειπεν αυτοις πορευεσθε φαγετε λιπασματα και πιετε γλυκασματα και αποστειλατε μεριδας τοις μη εχουσιν οτι αγια εστιν η ημερα τω κυριω ημων και μη διαπεσητε οτι εστιν ισχυς υμων
34. Nehemiah 8:11-12
Nehemiah 8:11 So the Levites stilled all the people, saying, Hold your peace, for the day is holy; neither be ye grieved. [kjv]
8:12 And all the people went their way to eat, and to drink, and to send portions, and to make great mirth, because they had understood the words that were declared unto them. [kjv]
35. Nehemiah 8:11
KJV: So the Levites stilled all the people, saying, Hold your peace, for the day is holy; neither be ye grieved.
Hebrew: והלוים מחשים לכל העם לאמר הסו כי היום קדש ואל תעצבו׃
Greek: και οι λευιται κατεσιωπων παντα τον λαον λεγοντες σιωπατε οτι η ημερα αγια και μη καταπιπτετε
36. Nehemiah 8:12
KJV: And all the people went their way to eat, and to drink, and to send portions, and to make great mirth, because they had understood the words that were declared unto them.
Hebrew: וילכו כל העם לאכל ולשתות ולשלח מנות ולעשות שמחה גדולה כי הבינו בדברים אשר הודיעו להם׃
Greek: και απηλθεν πας ο λαος φαγειν και πιειν και αποστελλειν μεριδας και ποιησαι ευφροσυνην μεγαλην οτι συνηκαν εν τοις λογοις οις εγνωρισεν αυτοις
37. Hospitality
Philippians 2:14 Do all things without murmurings and disputings: [kjv]
παντα ποιειτε χωρις γογγυσμων και διαλογισμων [gnt]
1 Peter 4:9 Use hospitality one to another without grudging. [kjv]
φιλοξενοι εις αλληλους ανευ γογγυσμου [gnt]
hospitales … murmuratione [v]
The Greek for "
hospitality" means that of a "
friend-stranger" as in being a "
friend" to a "
stranger".
The word "
grudge" has a negative connotation. The Greek word appears to mean side discussions based on opinion. The
"murmuring" and "
grudging" appears to come from the Latin.
38. 1 Peter 4:9-11
1 Peter 4:9 Use hospitality one to another without grudging. [kjv]
φιλοξενοι εις αλληλους ανευ γογγυσμου [gnt]
4:10 As every man hath received the gift, even so minister the same one to another, as good stewards of the manifold grace of God. [kjv]
εκαστος καθως ελαβεν χαρισμα εις εαυτους αυτο διακονουντες ως καλοι οικονομοι ποικιλης χαριτος θεου [gnt]
4:11 If any man speak, let him speak as the oracles of God; if any man minister, let him do it as of the ability which God giveth: that God in all things may be glorified through Jesus Christ, to whom be praise and dominion for ever and ever. Amen. [kjv]
ει τις λαλει ως λογια θεου ει τις διακονει ως εξ ισχυος ης χορηγει ο θεος ινα εν πασιν δοξαζηται ο θεος δια ιησου χριστου ω εστιν η δοξα και το κρατος εις τους αιωνας των αιωνων αμην [gnt]
39. 1 Peter 4:10
KJV: As every man hath received the gift, even so minister the same one to another, as good stewards of the manifold grace of God.
Greek: εκαστος καθως ελαβεν χαρισμα εις εαυτους αυτο διακονουντες ως καλοι οικονομοι ποικιλης χαριτος θεου
40. 1 Peter 4:11
KJV: If any man speak, let him speak as the oracles of God; if any man minister, let him do it as of the ability which God giveth: that God in all things may be glorified through Jesus Christ, to whom be praise and dominion for ever and ever. Amen.
Greek: ει τις λαλει ως λογια θεου ει τις διακονει ως εξ ισχυος ης χορηγει ο θεος ινα εν πασιν δοξαζηται ο θεος δια ιησου χριστου ω εστιν η δοξα και το κρατος εις τους αιωνας των αιωνων αμην
41. Lead courageously
Lead Courageously: Follow Jesus’ example by resisting and dismantling all systems of evil, injustice, and oppression, striving for peace, justice and reconciliation. Inspired by Joshua 1:9 and Ephesians 6:10.
Where does Jesus say to "lead"? How about "courageously"?
Where does Jesus say to "resist"?
Where does Jesus say to "dismantle"?
What is "evil"? What is "injustice"? What is "oppression"?
What is "striving"?
Where does Jesus say to be a "peacemaker"?
What is the "peace" for which we should "strive"? Jesus says he did not come to bring "peace" but a "sword" (code word).
Where does Jesus say to seek "reconciliation"? (mistranslated Greek word)
42. Joshua 1:9
Joshua 1:9 Have not I commanded thee? Be strong and of a good courage; be not afraid, neither be thou dismayed: for the LORD thy God is with thee whithersoever thou goest. [kjv]
ιδου εντεταλμαι σοι ισχυε και ανδριζου μη δειλιασης μηδε φοβηθης οτι μετα σου κυριος ο θεος σου εις παντα ου εαν πορευη [lxx]
It is always interesting when a verse is cherry-picked out of the
OT. In such cases, it is best to at least check the before and after verses.
43. Joshua 1:8
KJV: This book of the law shall not depart out of thy mouth; but thou shalt meditate therein day and night, that thou mayest observe to do according to all that is written therein: for then thou shalt make thy way prosperous, and then thou shalt have good success.
Hebrew: לא ימוש ספר התורה הזה מפיך והגית בו יומם ולילה למען תשמר לעשות ככל הכתוב בו כי אז תצליח את דרכך ואז תשכיל׃
Greek: και ουκ αποστησεται η βιβλος του νομου τουτου εκ του στοματος σου και μελετησεις εν αυτω ημερας και νυκτος ινα συνης ποιειν παντα τα γεγραμμενα τοτε ευοδωθηση και ευοδωσεις τας οδους σου και τοτε συνησεις
44. Joshua 1:9
KJV: Have not I commanded thee? Be strong and of a good courage; be not afraid, neither be thou dismayed: for the LORD thy God is with thee whithersoever thou goest.
Hebrew: הלוא צויתיך חזק ואמץ אל תערץ ואל תחת כי עמך יהוה אלהיך בכל אשר תלך׃
Greek: ιδου εντεταλμαι σοι ισχυε και ανδριζου μη δειλιασης μηδε φοβηθης οτι μετα σου κυριος ο θεος σου εις παντα ου εαν πορευη
45. Joshua 1:8-11
Joshua 1:8 This book of the law shall not depart out of thy mouth; but thou shalt meditate therein day and night, that thou mayest observe to do according to all that is written therein: for then thou shalt make thy way prosperous, and then thou shalt have good success. [kjv]
και ουκ αποστησεται η βιβλος του νομου τουτου εκ του στοματος σου και μελετησεις εν αυτω ημερας και νυκτος ινα συνης ποιειν παντα τα γεγραμμενα τοτε ευοδωθηση και ευοδωσεις τας οδους σου και τοτε συνησεις [lxx]
1:9 Have not I commanded thee? Be strong and of a good courage; be not afraid, neither be thou dismayed: for the LORD thy God is with thee whithersoever thou goest. [kjv]
ιδου εντεταλμαι σοι ισχυε και ανδριζου μη δειλιασης μηδε φοβηθης οτι μετα σου κυριος ο θεος σου εις παντα ου εαν πορευη [lxx]
1:10 Then Joshua commanded the officers of the people, saying, [kjv]
1:11 Pass through the host, and command the people, saying, Prepare you victuals; for within three days ye shall pass over this Jordan, to go in to possess the land, which the LORD your God giveth you to possess it. [kjv]
How many "
laws" that Joshua was to observe have been ignored in modern times? Do we still "
meditate" both "
day" and "
night" on those "
laws"?
Are we ready to do battle to "
possess" the land?
46. Joshua 1:10
KJV: Then Joshua commanded the officers of the people, saying,
Hebrew: ויצו יהושע את שטרי העם לאמר׃
Greek: και ενετειλατο ιησους τοις γραμματευσιν του λαου λεγων
47. Joshua 1:11
KJV: Pass through the host, and command the people, saying, Prepare you victuals; for within three days ye shall pass over this Jordan, to go in to possess the land, which the LORD your God giveth you to possess it.
Hebrew: עברו בקרב המחנה וצוו את העם לאמר הכינו לכם צידה כי בעוד שלשת ימים אתם עברים את הירדן הזה לבוא לרשת את הארץ אשר יהוה אלהיכם נתן לכם לרשתה׃
Greek: εισελθατε κατα μεσον της παρεμβολης του λαου και εντειλασθε τω λαω λεγοντες ετοιμαζεσθε επισιτισμον οτι ετι τρεις ημεραι και υμεις διαβαινετε τον ιορδανην τουτον εισελθοντες κατασχειν την γην ην κυριος ο θεος των πατερων υμων διδωσιν υμιν
48. Clothed in strength
Ephesians 6:10 Finally, my brethren, be strong in the Lord, and in the power of his might. [kjv]
του λοιπου ενδυναμουσθε εν κυριω και εν τω κρατει της ισχυος αυτου [gnt]
The Greek word for
"strong" here is that of being
"clothed" or
"endowed" or
"empowered" with something, as in the "
power of his might".
The ancient Greek word
"ἐνδύνω" ≈ "get into, put on (clothes)" and comes from two Greek words.
"ἐν" ≈ "in" as an intensifier.
"δύνω" ≈ "get into, put on (clothes)".
49. Power of might
Ephesians 6:10 Finally, my brethren, be strong in the Lord, and in the power of his might. [kjv]
του λοιπου ενδυναμουσθε εν κυριω και εν τω κρατει της ισχυος αυτου [gnt]
The ancient Greek word
"κράτος" ≈ "might, strength" and is the source of the English word
"democracy". The Latin uses the Latin word
"potentia" ≈ "power" and is the source of the English word
"potential".
The ancient Greek word
"ἰσχυρός" ≈ "strong, mighty". This word is used to describe the
"strong man" of the world (Satan) and the
"healthy" using this Greek word for
"strong" who do not "
want" a "
healer" or "
doctor".
50. Segue
The verse used in Ephesians 6:10 appears to have opened the door to the following somewhat similar verse in Philippians 4:13.
This is an example of bait and switch. Officially use Ephesians 6:10 as the bait. Pastors can then switch to Philippians 4:14.
It appears that the official vision statement uses verses that are somewhat safe for the vision statement. It appears, further, that pastors have taken those verses as a starting point, and, perhaps with some help, use similar verses that can be used to further mislead those listening who do not check up on what is being said.
51. Submission
52. Colossians 3:17
KJV: And what soever ye do in word or deed, do all in the name of the Lord Jesus, giving thanks to God and the Father by him.
Greek: και παν ο τι αν εαν ποιητε εν λογω η εν εργω παντα εν ονοματι κυριου ιησου ευχαριστουντες τω θεω και πατρι δι αυτου
53. Colossians 3:18
KJV: Wives, submit yourselves unto your own husbands, as it is fit in the Lord.
Greek: αι γυναικες υποτασσεσθε τοις ιδιοις ανδρασιν ως ανηκεν εν κυριω
54. Ephesians 5:21
KJV: Submitting yourselves one to another in the fear of God.
Greek: υποτασσομενοι αλληλοις εν φοβω θεου χριστου
55. Ephesians 5:22
KJV: Wives, submit yourselves unto your own husbands, as unto the Lord.
Greek: αι γυναικες τοις ιδιοις ανδρασιν υποτασσεσθε ως τω κυριω
56. Ephesians 6:12 Review the opposition
Ephesians 6:12 For we wrestle not against flesh and blood, but against principalities, against powers, against the rulers of the darkness of this world, against spiritual wickedness in high places. [kjv]
οτι ουκ εστιν ημιν η παλη προς αιμα και σαρκα αλλα προς τας αρχας προς τας εξουσιας προς τους κοσμοκρατορας του σκοτους τουτου προς τα πνευματικα της πονηριας εν τοις επουρανιοις [gnt]
Summary of the
opposition (not some long ago and far away esoteric evil):
"wrestle" is a play on words with "again" and "of old".
"against" is that of "to" as in taking it "to" the opposition.
57. Ephesians 6:12 Review the opposition
Ephesians 6:12 For we wrestle not against flesh and blood, but against principalities, against powers, against the rulers of the darkness of this world, against spiritual wickedness in high places. [kjv]
"principalities" or "of old": generic evil at the start after the fall of the creation (base case)
"powers" or "lack of restraint": generic powers since the fall of the creation (step case)
"rulers" or "people power" of "darkness" in the "world": civil governments (external threat)
"wickedness" or "oppression" in "high places" or "heavenly places": religious institutions (internal threat)
[Roman times, Nazi times, modern times (e.g., certain theologians), etc.]
58. Philippians 4:13 All things
Philippians 4:13 I can do all things through Christ which strengtheneth me. [kjv]
παντα ισχυω εν τω ενδυναμουντι με [gnt]
Can one really do "
all things"? There are many changes from the Greek.
The word "Christ" is inferred from the pronoun "Him" as «τω».
The Greek "in" is changed to "through".
The Greek "am made strong", is changed to "can do".
The Greek "all" with implied "these things" (i.e., in the previous verse) is changed to "all things".
The Greek "potential to do" is changed to "strengtheneth".
Greek paraphrase:
In all these things (just mentioned), I am given potential (to accomplish) in Him.
It appears that Paul is saying that he is made "
stronger" or "
better" in "
everything" through Jesus Christ. This would include the adversity of neglect (from Phillipi) whereby he needed to be self-sufficient to continue the work of Christ.
59. Leading
How does one know that it is God who is leading us? How does one know that it is not Satan? That is, what is a decision procedure to determine the difference?
Jesus says, "
Many will come in my name". What is the functional difference of someone stating the following?
1. "I am Christ. Follow me. Do what I say."
2. "I represent Christ. Christ says to do this."
60. Jesus: resist and dismantle
What might be examples of Jesus doing the following?
resisting
dismantling all systems of evil
dismantling all systems of injustice
dismantling all systems of oppression
Are we to do this in an
active or a
passive sense? Provide examples.
What is "evil"?
What is "injustice"?
What is "oppression"? What is "self-oppression"?
[religious institutions, civil governments, etc.]
61. Jesus: resist and dismantle
When Jesus talks of resistance it is in not doing what the religious establishment wants when it is at variance with the will of God. Likewise, when Jesus talks of evil, injustice and oppression, it is worded such that one could associate it with the civil government. Closer inspection reveals that the important evil, injustice and oppression is coming from the religious establishment. Jesus uses careful wording such that what he say applies to religious establishments of all times.
62. Jesus
If a "
bird" can portray Jesus as resisting and dismantling the civil system of evil, injustice and oppression, that "
bird" can now harness (i.e., deceive) believers as "
pigs" who have taken "
oaths" to help enact their own personal political and social view of change. This appears to follow the example Jesus provides of what
not to do.
The "bird" pulls out an "opinion", does not put it under a "measure", but holds it up to give false "light" to attract "fish" as followers.
The "bird", with promises of being "great", attracts the "fish" on a "mountain". The "fish" take "oaths" to show their faith and to make them "great".
The "bird" recruits "pigs" as "leaders" to "influence" others for the mission set forth by the "birds".
This is the progression that leads to "
adultery" and "
death" and "
idols". It is a
dead-end path.
63. Generations big build
1
2
3
4
5
6
7
8
9
10
+
-
▶
|
64. Birds and the growing season
The "
birds" do not
"sow",
"reap" nor
"store". They do their
deceptive work during the
"growing" season. How might one be
deceived during the
"growing" season?
65. Theologian Walter Wink
Walter Wink (1935-2012) was a American theologian and activist and an important port in Progressive Christianity (i.e., advocating views that do not appear to agree with what the Bible and Jesus actually say). He was ordained as a
Methodist minister in 1961. To use the "
w" sound, one web pages had the title "
The weird and wacky wokeness of Walter Wink". Here are some quotes.
If Satan authored an article for publication and the subject was himself, he would do no better job vindicating his evil than Walter Wink has done in tackling the subject. Wink was a twentieth-century theologian who significantly influenced the discussion of spiritual warfare in Protestant liberalism. ... he adopted typical non-evangelical positions such as rejection of biblical inspiration and authority. He supported radical political views and was an early advocate for homosexuality.
https://www.proclaimanddefend.org/2020/04/16/the-weird-and-wacky-wokeness-of-walter-wink/ (as of 2025-04-29)
66. Theologian Walter Wink
From the same web page above:
First, he argues that spiritual warfare is primarily social justice. ... Wink also demythologizes Satan and demons. (verses from, say Colossians, on spiritual warfare, are twisted to support this view).
How to describe Wink’s argument? Perhaps the best we can do is this: Imagine reading the Bible but taking every obvious, common-sense interpretation and flipping it upside down. It is not that extreme, but almost. David Powlison refers to it as “imaginative exegesis.”
Wink defends Satan as being God’s servant who occupies a role resembling a prosecuting attorney. ... He argues that by persecuting Job, Satan was actually blessing the world.
67. In and/or of the world
One should be in the world rather than of the world. Not understanding and/or following God's laws is not good.
Satan to Eve: Did God really say that?
Almost all churches are somewhere between the two extremes.
John 17:14 I have given them thy word; and the world hath hated them, because they are not of the world, even as I am not of the world. [kjv]
εγω δεδωκα αυτοις τον λογον σου και ο κοσμος εμισησεν αυτους οτι ουκ εισιν εκ του κοσμου καθως εγω ουκ ειμι εκ του κοσμου [gnt]
68. Colossians 2:15 Principalities and powers
Colossians 2:15 And having spoiled principalities and powers, he made a shew of them openly, triumphing over them in it. [kjv]
απεκδυσαμενος τας αρχας και τας εξουσιας εδειγματισεν εν παρρησια θριαμβευσας αυτους εν αυτω [gnt]
The ancient Greek word
"ἀρχή" ≈ "beginning, origin, sovereignty, authority" and could be the end of a rope, stick, etc., or the corner of a sheet.
The ancient Greek word
"ἐξουσία" ≈ "possibility, opportunity, lack of restraint (lifestyle)". In
context, it can mean
"power",
"means",
"authority", etc.
69. Colossians 1:16 Creation
Colossians 1:16 For by him were all things created, that are in heaven, and that are in earth, visible and invisible, whether they be thrones, or dominions, or principalities, or powers: all things were created by him, and for him: [kjv]
οτι εν αυτω εκτισθη τα παντα εν τοις ουρανοις και επι της γης τα ορατα και τα αορατα ειτε θρονοι ειτε κυριοτητες ειτε αρχαι ειτε εξουσιαι τα παντα δι αυτου και εις αυτον εκτισται [gnt]
The ancient Greek word
"ἀρχή" ≈ "beginning, origin, sovereignty, authority" and could be the end of a rope, stick, etc., or the corner of a sheet.
The ancient Greek word
"ἐξουσία" ≈ "possibility, opportunity, lack of restraint (lifestyle)". In
context, it can mean
"power",
"means",
"authority", etc.
The Greek word translated as
"by" is that of
"through".
The Greek word translated as
"for" is that of
"into/against".
The Greek word translated as
"all" is that of
"all" in context, usually what has just been mentioned around the
"all".
70. Ephesians 6:12 Review the opposition
Ephesians 6:12 For we wrestle not against flesh and blood, but against principalities, against powers, against the rulers of the darkness of this world, against spiritual wickedness in high places. [kjv]
οτι ουκ εστιν ημιν η παλη προς αιμα και σαρκα αλλα προς τας αρχας προς τας εξουσιας προς τους κοσμοκρατορας του σκοτους τουτου προς τα πνευματικα της πονηριας εν τοις επουρανιοις [gnt]
Summary of the
opposition (not some long ago and far away esoteric evil):
"wrestle" is a play on words with "again" and "of old".
"against" is that of "to" as in taking it "to" the opposition.
71. Ephesians 6:12 Review the opposition
Ephesians 6:12 For we wrestle not against flesh and blood, but against principalities, against powers, against the rulers of the darkness of this world, against spiritual wickedness in high places. [kjv]
"principalities" or "of old": generic evil at the start after the fall of the creation (base case)
"powers" or "lack of restraint": generic powers since the fall of the creation (step case)
"rulers" or "people power" of "darkness" in the "world": civil governments (external threat)
"wickedness" or "oppression" in "high places" or "heavenly places": religious institutions (internal threat)
[Roman times, Nazi times, modern times (e.g., certain theologians), etc.]
72. Remarks
“This new vision is not simply a statement or a plan, it is a catalyst for transformation, ” said Bishop Tracy Smith Malone, President of the Council of Bishops. “It is a vision that will help the Church embrace the opportunities before us, to follow where God is leading us, and to more fully engage in our mission of making disciples of Jesus Christ for the transformation of the world.”
Why do we need a "catalyst" for "transformation"?
Why can we not just do what Jesus said to do?
Why should we trust you to be telling is what Jesus said? Can we not investigate ourself and make our own decisions?
How do we know that it is God that is leading us and not, say, Satan?
Where does Jesus say that we are to "transform" the "world"?
73. More
For completeness, here is the rest of the announcement from May 1, 2025 (contacts omitted, check the web site).
The Council of Bishops and the Connectional Table will work with General Agencies to create resources that inspire and equip disciples, leaders, and congregations to live into this vision. Resources will be shared at Annual Conference sessions and with leaders within local churches this summer, with lay member resources anticipated to follow in late 2025/early 2026.
Learn more about the vision, access the informational video and get resources as they become available at ResourceUMC. org/vision.
74. About the United Methodist Church
About The United Methodist Church: The United Methodist Church is a worldwide connection of about 10 million members in more 100 countries including Africa, Asia, Europe and the United States. United Methodists are people of God who share a common mission and values. The church and its members are called to make disciples of Jesus Christ for the transformation of the world. Learn more at UMC. org.
75. About the Council of Bishops
About the Council of Bishops: The Council of Bishops is the executive branch of The United Methodist Church and is made up of all active and retired bishops in the church. The council is responsible for the church's general oversight and provides spiritual leadership to almost 10 million people on four continents. Find them online at UnitedMethodistBishops. org.
About the Connectional Table. The Connectional Table works to steward the mission, vision and ministries of The United Methodist Church. For more information, please visit umcct.org.
76. End of page