Send
Close Add comments:
(status displays here)
Got it! This site "creationpie.org" uses cookies. You consent to this by clicking on "Got it!" or by continuing to use this website. Note: This appears on each machine/browser from which this site is accessed.
Some logic rules taught in philosophy
1. Some logic rules taught in philosophy
2. Some logic rules taught in philosophy
There are nine logic rules that are often introduced at the beginning of philosophy classes. These rules will be added here as appropriate.
The general format of many philosophy courses, books, etc. is as follows.
Introduce some logic rules at the beginning, as if logic is going to be used the rest of the course.
Introduce some reality science with multiple interpretations that connect reality to multiple models of logical systems. Call this an example of multiple truths.
Continue using opinion logic for the rest of the course. Periodically remind the students that there are multiple truths and, once in a while, use a word that represents a logical operation (which may or may not apply to what is being claimed).
... more to be added ...
3. Reasoning
Deduction : top down logical truth (discrete)
Induction : bottom-up reality truth (continuous)
Abduction : opinion truth
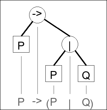
4. Modus ponens
5. Logical implication
Some operations are implication or the negation of implication.
This operation his
implications with
inerrency as it relates to the Bible.
Philosophers will use the name
modus ponens for this logical operation. If both A and B are replaced by their negation, the result is
modus tollens.
6. Modus tollens
7. Modus ponens and modus tollens
 |
P Q | ( P -> Q ) = ( ( ! Q ) -> ( ! P ) )
-----------------------------------------
0 0 | ( 0 1 0 ) 1 ( ( 1 0 ) 1 ( 1 0 ) )
0 1 | ( 0 1 1 ) 1 ( ( 0 1 ) 1 ( 1 0 ) )
1 0 | ( 1 0 0 ) 1 ( ( 1 0 ) 0 ( 0 1 ) )
1 1 | ( 1 1 1 ) 1 ( ( 0 1 ) 1 ( 0 1 ) )
|
Here is an extended truth table proof that
modus ponens and
modus tollens are related such that when one holds the other holds (for the same logical variables).
That is
P implies Q
can be interchanged (i.e., is equivalent to)
(not Q) implies (not P).
To see this in the proof table, note that all values under the equal sign "
=" are
1 as
true.
8. John 15:18-19 Hate of the world
John 15:18 If the world hate you, ye know that it hated me before it hated you. [kjv]
ει ο κοσμος υμας μισει γινωσκετε οτι εμε πρωτον υμων μεμισηκεν [gnt]
15:19 If ye were of the world, the world would love his own: but because ye are not of the world, but I have chosen you out of the world, therefore the world hateth you. [kjv]
ει εκ του κοσμου ητε ο κοσμος αν το ιδιον εφιλει οτι δε εκ του κοσμου ουκ εστε αλλ εγω εξελεξαμην υμας εκ του κοσμου δια τουτο μισει υμας ο κοσμος [gnt]
Can the
"universe" "hate"? Saying:
Statistics means nothing to a rock.
The ancient Greek word
"μισέω" ≈ "hate" and is from
"μῖσος" ≈ "hatred, hate" and appears to be pre-Greek in origin. It is the source of the first part of the English word
"misogynist" as someone who
"hates" "
women". Jesus says that the world will
"hate" his followers because the world
"hates" Jesus (and God). The church is the bride of Christ who is the groom. Does this make the
"world" a "
misogynist"?
If the
"(people in the) world" loves it's own, is it possible to "
out-love" the
"world" without becoming of the
"world"?
9. Modus tollens
The propositional logic rule "
P implies Q" is equivalent to "
not Q implies not P". This rule is called
modus tollens. One can apply
modus tollens to what Jesus says in John. Let
P and
Q be the following.
P is "you follow Jesus".
Q is "the world hates you".
The following then follow. Assume that the
opposite of
"hate" is
"love".
Define "world". Define "world" as the word is used by Jesus.
Modus ponens: If P: "you follow Jesus", then Q: "the world hates you".
Modus tollens: If not Q: "the world does not hate you" then not P: "you do not follow Jesus".
Modus tollens: If not Q: "the world loves you" then not P: "you do not follow Jesus".
10. Modus tollens
Consider the result:
Modus tollens: If "the world loves you" then "you do not follow Jesus".
Discuss:
Should you try to get the world to love (not hate) you?
Should you try to love the world?
Should you try to out-love the world? What does that mean?
If a statement is ambiguous (i.e., can be taken in more than one way), then is it a good idea to use such a statement as, for example, a vision statement?
[peacemakers]
11. Song: They will know we are Christians
John 13:35 By this shall all men know that ye are my disciples, if ye have love one to another. [kjv]
εν τουτω γνωσονται παντες οτι εμοι μαθηται εστε εαν αγαπην εχητε εν αλληλοις [gnt]
As a choir director and parish priest in Chicago, Peter Scholtes (1938-2009)he could not find an appropriate song and wrote "
They will know we are Christians" in a day in 1966.

Peter Scholtes wrote the book
The Leader's Handbook (1998) where he argued against performance appraisal - deeming it demoralizing and not proper.
12. John 13:34-35 Love one another
John 13:34 A new commandment I give unto you, That ye love one another. as I have loved you, that ye also love one another. [kjv]
εντολην καινην διδωμι υμιν ινα αγαπατε αλληλους καθως ηγαπησα υμας ινα και υμεις αγαπατε αλληλους [gnt]
13:35 By this shall all men know that ye are my disciples, if ye have love one to another. [kjv]
εν τουτω γνωσονται παντες οτι εμοι μαθηται εστε εαν αγαπην εχητε εν αλληλοις [gnt]
The Greek word translated as "
another" is that of "
another (similar)" and
not "
another (different)". The Greek word translated as "
all" is that of "
all" within the context of what is being said.
Jesus is talking to believers. Some pastors will extend this to everyone in the world such that even if the culture goes against God, one should accept that behavior. The Greek has two words for "
other": "
similar other" and "
different other". The word here is the "
similar other".
All the Gospels and Paul say "
love neighbor as yourself". Many pastors leave out the "
as yourself" which is a negative feedback loop so that one does not go against God's laws in loving one's neighbor.
13. John 13:35 Modus tollens
John 13:35 By this shall all men know that ye are my disciples, if ye have love one to another. [kjv]
εν τουτω γνωσονται παντες οτι εμοι μαθηται εστε εαν αγαπην εχητε εν αλληλοις [gnt]
Let the following simplified assertions hold following the song lyrics "
They will know we are Christians by our love" and John 13:35. John, as a computer scientist, expresses what Jesus says as
Q if P rather then
if P then Q.
P: "love one another" (fellow believers).
Q: "know you are Christians".
not P: "not love one another" (fellow believers)
not Q: "not know you are Christians".
Then consider the following.
modus ponens: if P: "love one another" then Q: "know you are Christians".
modus tollens: if not Q: "not know you are Christians" then P: "not love one another".
Does this make sense? Why or why not?
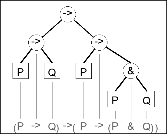
14. Hypothetical syllogism
 |
P Q R | ( ( P -> Q ) & ( Q -> R ) ) -> ( P -> R )
-------------------------------------------------
0 0 0 | ( ( 0 1 0 ) 1 ( 0 1 0 ) ) 1 ( 0 1 0 )
0 0 1 | ( ( 0 1 0 ) 1 ( 0 1 1 ) ) 1 ( 0 1 1 )
0 1 0 | ( ( 0 1 1 ) 0 ( 1 0 0 ) ) 1 ( 0 1 0 )
0 1 1 | ( ( 0 1 1 ) 1 ( 1 1 1 ) ) 1 ( 0 1 1 )
1 0 0 | ( ( 1 0 0 ) 0 ( 0 1 0 ) ) 1 ( 1 0 0 )
1 0 1 | ( ( 1 0 0 ) 0 ( 0 1 1 ) ) 1 ( 1 1 1 )
1 1 0 | ( ( 1 1 1 ) 0 ( 1 0 0 ) ) 1 ( 1 0 0 )
1 1 1 | ( ( 1 1 1 ) 1 ( 1 1 1 ) ) 1 ( 1 1 1 )
|
The rule for
hypothetical syllogism is a transitive rule.
1. P implies Q
2. Q implies R
3. P implies R
... more to be added ...
15. Conjunction
 |
P Q | P & Q
-----------
0 0 | 0 0 0
0 1 | 0 0 1
1 0 | 1 0 0
1 1 | 1 1 1
|
1. P.
2. Q.
3. P & Q.
16. Short circuit
 |
P Q | ( P & Q ) -> P
--------------------
0 0 | ( 0 0 0 ) 1 0
0 1 | ( 0 0 1 ) 1 0
1 0 | ( 1 0 0 ) 1 1
1 1 | ( 1 1 1 ) 1 1
|
1. P & Q.
2. P.
Likewise for Q.
17. Absorption
 |
P Q | ( P -> Q ) -> ( P -> ( P & Q ) )
--------------------------------------
0 0 | ( 0 1 0 ) 1 ( 0 1 ( 0 0 0 ) )
0 1 | ( 0 1 1 ) 1 ( 0 1 ( 0 0 1 ) )
1 0 | ( 1 0 0 ) 1 ( 1 0 ( 1 0 0 ) )
1 1 | ( 1 1 1 ) 1 ( 1 1 ( 1 1 1 ) )
|
1. P -> Q
2. P -> (P & Q)
18. Addition
 |
P Q | P -> ( P | Q )
--------------------
0 0 | 0 1 ( 0 0 0 )
0 1 | 0 1 ( 0 1 1 )
1 0 | 1 1 ( 1 1 0 )
1 1 | 1 1 ( 1 1 1 )
|
1. P
2. P | Q
19. End of page