Send Close Add comments: (status displays here)
Got it!  This site "creationpie.org" uses cookies. You consent to this by clicking on "Got it!" or by continuing to use this website.  Note: This appears on each machine/browser from which this site is accessed.
1 Thessalonians 2:8 A wicked translation
by RS  admin@creationpie.org : 1024 x 640


1. 1 Thessalonians 2:8 A wicked translation

2. Thessalonians

3. 1 Thessalonians 2:8 A wicked translation
Verse route2 Thessalonians 2:8 And then shall that Wicked be revealed, whom the Lord shall consume with the spirit of his mouth, and shall destroy with the brightness of his coming: [kjv]
Verse routeκαι τοτε αποκαλυφθησεται ο ανομος ον ο κυριος ιησους ανελει τω πνευματι του στοματος αυτου και καταργησει τη επιφανεια της παρουσιας αυτου [gnt]

The "wicked" one is that of "lawlessness" or "against the law". This one appears to be "revealed" on in "Revelation".

If the "wicked one" is "consumed" and "destroyed", that one should not need to be mentioned in following verses. Perhaps some words have meanings different than what was translated.

4. Cases
Some languages have more cases than others. Here are some cases. The dative case has disappeared in modern Greek.

N Nominative
D Dative
A Accusative
G Genitive
V Vocative
...
The Greek word for "case" comes from the ancient Greek word "πτώση""fallen, dropped". A similar phrase is used in English is a reference to a "lower class" or "low life" or "culturally abused". This Greek word is related to the Greek word for "poor" or "beggar" but is a word used by Jesus to refer to those who need the "Good News".
In grammar, the word means a "case" such as nominative, accusative, dative, genitive, etc. In a logical syllogism, it can mean an arrangement of terms.

Information sign More: Matthew 5:3 B1 The good news about being poor in spirit
Information sign More: Logic: syllogisms
Information sign More: Philippians 1:16-18 syllogism
Information sign More: Dative case in ancient Greek

5. Dative case
In the dative case, English often uses a word to help disambiguate the meaning of "the" such as "with the", "to the", "by the", etc. Translation issues arise when (ambiguous) pronouns are used.

What is the meaning difference, if any, in the following? What is the meaning difference, if any, in the following?

6. Problem at the hospital
Movie: Airplane Hospital sign with arrow
Some movies use this ambiguity as humor. Some people like this humor. Some do not. Here is an example from one of the Airplane movies.

Be hospitable and not hostile!
The pronoun "it" is somewhat ambiguous. Pronouns usually refers to the nearest noun, but not always. This is an example of one problem that makes NLP (Natural Language Processing) by computers difficult.

Information sign More: Matthew 25:38 Hosting strange and hostile guests and ghosts
Information sign More: Pronouns

7. Telescopes
The man saw the woman with the telescope. Who has the telescope?


Notice how the ambiguity increases if the names are both male (or female).

8. Telescope
Telescope paraphrase: (which ones make sense) Verse paraphrase: (which ones make sense)

9. We three kings of orient are
Verse routeMatthew 2:1 Now when Jesus was born in Bethlehem of Judaea in the days of Herod the king, behold, there came wise men from the east to Jerusalem, [kjv]
Verse route2:2 Saying, Where is he that is born King of the Jews? for we have seen his star in the east, and are come to worship him. [kjv]

Orientation Compass
Who are the "wise men"?
From where came the "wise men"?
[language ambiguity, Magi, Daniel, Parthians, Masada, Herod's army]

Information sign More: Song: We three kings of orient are

10. Sentence diagrams and parsing
Sentence diagrams are a graphical way to show the semantic and syntactic structure of a sentence.
Due to differences in human opinion, speech, etc., there are many ambiguities that arise in the parsing of text. This can be the result of intentional ambiguity, deception, jokes, etc.

Information sign More: Word and parsing ambiguity
Information sign More: Sentence diagrams and parsing

11. Sentence diagram ambiguity
Some people think that a sentence diagram will help understand the meaning. There is no magic in a sentence diagram.
Seldom can a fixed grammar create a sentence diagram. Even then, each POS (Part of Speech), with inflections, needs to be decided.

Thus, a sentence diagram is usually created by deciding what the parse should be and then creating a visual representation as a sentence diagram.

Information sign More: Sentence diagrams and parsing

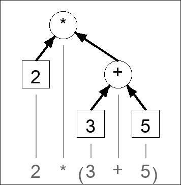
12. Simple parsing ambiguity example
Expression tree for (2 * 3) + 5 Expression tree for 2 * ( 3 + 5 )
1. Default precedence. 2. Non-default precedence
What is the value of the expression 2*3+5?

Math people tend to think in terms of text and parentheses.
Computer people tend to think in terms of trees without parentheses.

Changing the root changes the implicit parentheses.

A syntax tree, similar to a sentence diagram does not help decide the meaning since the syntax tree depicts the meaning as decided by the precedence rules. The usual mathematical rule is that multiplication is done first and then addition. Natural language does not have such default rules.

Without rules on operator precedence, the value is ambiguous. Mathematics tends to use parentheses to disambiguate. Computer science tends to use trees since trees are used internally for computational ordering. The parentheses disappear inside the computer. Here are two ways to parse 2*3+5.

Information sign More: Sentence diagrams and parsing

13. Whom
Verse route2 Thessalonians 2:8 And then shall that Wicked be revealed, whom the Lord shall consume with the spirit of his mouth, and shall destroy with the brightness of his coming: [kjv]
Verse routeκαι τοτε αποκαλυφθησεται ο ανομος ον ο κυριος ιησους ανελει τω πνευματι του στοματος αυτου και καταργησει τη επιφανεια της παρουσιας αυτου [gnt]

The Greek word translated as "whom" is the direct object as a singular, masculine, accusative pronoun.

14. 2 Thessalonians 2:8 Revelation
Verse route2 Thessalonians 2:8 And then shall that Wicked be revealed, whom the Lord shall consume with the spirit of his mouth, and shall destroy with the brightness of his coming: [kjv]
Verse routeκαι τοτε αποκαλυφθησεται ο ανομος ον ο κυριος ιησους ανελει τω πνευματι του στοματος αυτου και καταργησει τη επιφανεια της παρουσιας αυτου [gnt]

The "with" is added and is not in the Greek. The dative definite article pronoun "the" is used. The first is masculine, the second feminine. The problem here is that adding the "with" assumes that the Lord Jesus is using his mouth and brightness, etc. Without the "with" it could be the mouth, brightness, etc., of the wicked one. Many translations make an assumption without letting the reader know about the decision.

15. Genesis 1:1 Declarative models and causal reasoning
Verse routeGenesis 1:1 In the beginning God created the heaven and the earth. [kjv]
Verse routeבראשיתבראאלהיםהשמיםהארץ [he]
Verse routeεν αρχη εποιησεν ο θεος τον ουρανον και την γην [lxx]

Genesis 1 is a declarative model of creation and not a procedural or imperative model of creation. It says what happened but not exactly how it happened.

16. 2 Thessalonians 2:8 Logic and control
Verse route2 Thessalonians 2:8 And then shall that Wicked be revealed, whom the Lord shall consume with the spirit of his mouth, and shall destroy with the brightness of his coming: [kjv]
Verse routeκαι τοτε αποκαλυφθησεται ο ανομος ον ο κυριος ιησους ανελει τω πνευματι του στοματος αυτου και καταργησει τη επιφανεια της παρουσιας αυτου [gnt]

Many statements, including prophecy, in the Bible, are declarative and not procedural/imperative. The KJV (King James Version), by changing the meaning of some Greek words (influenced by the Latin) and adding "with" changes the meaning from a declarative sense to a procedural/imperative sense.

Information sign More: Genesis 1:1 Declarative models and causal reasoning

17. Genesis 1:1 Declarative models
Verse routeGenesis 1:1 In the beginning God created the heaven and the earth. [kjv]
Verse routeבראשיתבראאלהיםהשמיםהארץ [he]
Verse routeεν αρχη εποιησεν ο θεος τον ουρανον και την γην [lxx]

Model of creation
The "declarative" model of creation is before Adam and Eve were created. The exact way it happened does not matter.

It does not make sense to try to map time and space of reality as is known now to the that period.

The "historical" model of humanity started with Adam and continues to the present day. The exact dates do not matter.

This is known more precisely since the start of written records and less precisely before then.

To show that the Bible is a true message from the creator, (fault-tolerant and error correcting) authentication codes are needed.

Information sign More: The beginning and end of time
Information sign More: A recent new beginning
Information sign More: Genesis 1:1 Declarative models and causal reasoning

18. Strongs - slay

19. Usage - slay
*G337 *24 ἀναιρέω (an-ahee-reh'-o) : from G303 and (the active of) 138; to take up, i.e. adopt; by implication, to take away (violently), i.e. abolish, murder:--put to death, kill, slay, take away, take up.

The TR (Textus Receptus) (less reliable) uses the ancient Greek word "ἀναιρέω""take up, carry away, abolish, cancel". In context, it could mean "kill", "slay", etc.

The NA (Nestle Aland) (more reliable) uses the ancient Greek word "ἀναλύω""cause to wander, unloose, undo, resolve". In context, it can mean to "do away with" a problem as in causing someone to "die". In the Soviet Union, a word such as "liquidate" was used as a euphemism for "killing".

20. 2 Thessalonians 2:8 Allow to consume
Verse route2 Thessalonians 2:8 And then shall that Wicked be revealed, whom the Lord shall consume with the spirit of his mouth, and shall destroy with the brightness of his coming: [kjv]
Verse routeκαι τοτε αποκαλυφθησεται ο ανομος ον ο κυριος ιησους ανελει τω πνευματι του στοματος αυτου και καταργησει τη επιφανεια της παρουσιας αυτου [gnt]

It appears that English translations are influenced by the Latin Vulgate "interficio""kill, destroy, slay". The ancient Greek word "ἀναλύω""cause to wander, unloose, undo resolve" and is the source of the English word "analyze" as in "taking apart" (in order to understand)

It appears that the Lord Jesus will "allow" or "unloose" the (false) "spirit" of the "mouth" of the "wicked one". That the "wicked one" uses this "spirit" of his "mouth" is stated in a few verses.

21. Aristotle: Topica
English: ...so that in the other cases it is possible to destroy the statement in two ways, by showing either that it does not belong or that it does not belong in a particular way, but in the case of the accident it is impossible to destroy it except by showing that it does not belong. (Loeb#391)
Greek: Ὥστ´ ἐπὶ μὲν τῶν ἄλλων διχῶς ἔστιν ἀνελεῖν, ἢ δείξαντα ὅτι οὐχ ὑπάρχει ἢ ὅτι οὐχ οὕτως ὑπάρχει· ἐπὶ δὲ τοῦ συμβεβηκότος οὐκ ἔστιν ἀνελεῖν ἀλλ´ ἢ δείξαντα ὅτι οὐχ ὑπάρχει. Aristotle: Tocica [155a]
Aristotle uses this word twice in two sentences. It appears that the translator did not understand what Aristotle was saying in terms of logic. Perhaps influenced by other uses of the word, as in the GNT (Greek New Testament), the translation as "destroy" does not make sense here whereas "analyze" as in "take apart" to "unloose" does make sense. In the previous pages, Aristotle does use the word for "confirm" and "refute" as in "destroy" (omitted).

In the second usage, Aristotle says that if you "analyze" or "break apart" the claim, one cannot fail to see that it is not valid.

22. Aristotle: Topica
In order to "refute" or "destroy" a claim, one must first "analyze" or "take apart" the claim. Then, one can either "confirm" or "refute" or "destroy" the claim. This is what Aristotle appears to be saying. This is an example of the converse fallacy (in the translation). The Greek translated as "belong" is that of "existence".

Information sign More: Converse fallacy: If A then B does not mean If B then A

23. 2 Thessalonians 2:8 Brightness of his coming
Verse route2 Thessalonians 2:8 And then shall that Wicked be revealed, whom the Lord shall consume with the spirit of his mouth, and shall destroy with the brightness of his coming: [kjv]
Verse routeκαι τοτε αποκαλυφθησεται ο ανομος ον ο κυριος ιησους ανελει τω πνευματι του στοματος αυτου και καταργησει τη επιφανεια της παρουσιας αυτου [gnt]

The Greek word translated as "brightness" is the ancient Greek word "ἐπιφάνεια""appearance, manifestation" and is the source of the English word "epiphany".

English translations appear to be influenced by the Latin word "inlustro""illuminate brighten, light up" which is another form of the Latin word "illustrao""illuminate, brighten, light up" and is the source of the English words "illustrious" and "illustration".

Information sign More: The coming of epiphany

24. Pun: Antiochus Epiphanies
Verse routeActs 26:24 And as he thus spake for himself, Festus said with a loud voice, Paul, thou art beside thyself; much learning doth make thee mad. [kjv]
Verse routeταυτα δε αυτου απολογουμενου ο φηστος μεγαλη τη φωνη φησιν μαινη παυλε τα πολλα σε γραμματα εις μανιαν περιτρεπει [gnt]

His original name was "Mithridates". Daniel refers to him in prophecy about 400 years before, Jesus refers to him about 200 years later as a sign for the end times, and his actions led to the revolt and re-dedication of the temple during the Maccabean revolt and called "Hanukkah".

The ancient Greek word "ἐπιφάνεια""appearance, manifestation". The modern Greek word "επιφανής" (eh-pee-fa-NEES) ≈ "illustrious, prominent" as in appearance.
Since Antiochus Epiphanies was a mad tyrant who considered himself "illustrious", a common pun (not to his face) was to call him "Antiochus Epimanes", "mad one" as in the ancient Greek word "μανία""madness, frenzy" and is the English word "mania" . The modern Greek word "μανία" (ma-NEE-a) ≈ "mania".

Thus, the play on words way goes between the phi «φ» ("f" sound) and the mu «μ» ("m" sound).

Information sign More: A mania for confusing commotions

25. Strongs - annul

26. Usage - annul
*G2673 *27 καταργέω (kat-arg-eh'-o) : from G2596 and G691; to be (render) entirely idle (useless), literally or figuratively:--abolish, cease, cumber, deliver, destroy, do away, become (make) of no (none, without) effect, fail, loose, bring (come) to nought, put away (down), vanish away, make void.

The ancient Greek word "καταργέω""leave unemployed, leave idle, make of no effect".

27. Pun: Antiochus Epiphanies
Verse routeActs 26:24 And as he thus spake for himself, Festus said with a loud voice, Paul, thou art beside thyself; much learning doth make thee mad. [kjv]
Verse routeταυτα δε αυτου απολογουμενου ο φηστος μεγαλη τη φωνη φησιν μαινη παυλε τα πολλα σε γραμματα εις μανιαν περιτρεπει [gnt]

His original name was "Mithridates". Daniel refers to him in prophecy about 400 years before, Jesus refers to him about 200 years later as a sign for the end times, and his actions led to the revolt and re-dedication of the temple during the Maccabean revolt and called "Hanukkah".

The ancient Greek word "ἐπιφάνεια""appearance, manifestation". The modern Greek word "επιφανής" (eh-pee-fa-NEES) ≈ "illustrious, prominent" as in appearance.
Since Antiochus Epiphanies was a mad tyrant who considered himself "illustrious", a common pun (not to his face) was to call him "Antiochus Epimanes", "mad one" as in the ancient Greek word "μανία""madness, frenzy" and is the English word "mania" . The modern Greek word "μανία" (ma-NEE-a) ≈ "mania".

Thus, the play on words way goes between the phi «φ» ("f" sound) and the mu «μ» ("m" sound).

Information sign More: A mania for confusing commotions

28. No effect
Verse routeRomans 4:14 For if they which are of the law be heirs, faith is made void, and the promise made of none effect: [kjv]
Verse routeει γαρ οι εκ νομου κληρονομοι κεκενωται η πιστις και κατηργηται η επαγγελια [gnt]

Verse route7:2 For the woman which hath an husband is bound by the law to her husband so long as he liveth; but if the husband be dead, she is loosed from the law of her husband. [kjv]
Verse routeη γαρ υπανδρος γυνη τω ζωντι ανδρι δεδεται νομω εαν δε αποθανη ο ανηρ κατηργηται απο του νομου του ανδρος [gnt]

The ancient Greek word "καταργέω""leave unemployed, leave idle, make of no effect".

29. Romans 7:2
   Romans 7:2 
 All 
KJV: For the woman which hath an husband is bound by the law to her husband so long as he liveth; but if the husband be dead, she is loosed from the law of her husband.
Greek: η γαρ υπανδρος γυνη τω ζωντι ανδρι δεδεται νομω εαν δε αποθανη ο ανηρ κατηργηται απο του νομου του ανδρος

30. Romans 4:14
   Romans 4:14 
 All 
KJV: For if they which are of the law be heirs, faith is made void, and the promise made of none effect:
Greek: ει γαρ οι εκ νομου κληρονομοι κεκενωται η πιστις και κατηργηται η επαγγελια

31. No effect
Verse route1 Corinthians 13:11 When I was a child, I spake as a child, I understood as a child, I thought as a child: but when I became a man, I put away childish things. [kjv]
Verse routeοτε ημην νηπιος ελαλουν ως νηπιος εφρονουν ως νηπιος ελογιζομην ως νηπιος οτε γεγονα ανηρ κατηργηκα τα του νηπιου [gnt]

Verse routeGalatians 5:4 Christ is become of no effect unto you, whosoever of you are justified by the law; ye are fallen from grace. [kjv]
Verse routeκατηργηθητε απο χριστου οιτινες εν νομω δικαιουσθε της χαριτος εξεπεσατε [gnt]

The ancient Greek word "καταργέω""leave unemployed, leave idle, make of no effect".

32. 1 Corinthians 13:11
 All 
KJV: When I was a child, I spake as a child, I understood as a child, I thought as a child: but when I became a man, I put away childish things.
Greek: οτε ημην νηπιος ως νηπιος ελαλουν ως νηπιος εφρονουν ως νηπιος ελογιζομην ως νηπιος οτε δε γεγονα ανηρ κατηργηκα τα του νηπιου

33. Galatians 5:4
 All 
KJV: Christ is become of no effect unto you, whosoever of you are justified by the law; ye are fallen from grace.
Greek: κατηργηθητε απο του χριστου οιτινες εν νομω δικαιουσθε της χαριτος εξεπεσατε

34. 2 Thessalonians 2:8 Delay the destruction
Verse route2 Thessalonians 2:8 And then shall that Wicked be revealed, whom the Lord shall consume with the spirit of his mouth, and shall destroy with the brightness of his coming: [kjv]
Verse routeκαι τοτε αποκαλυφθησεται ο ανομος ον ο κυριος ιησους ανελει τω πνευματι του στοματος αυτου και καταργησει τη επιφανεια της παρουσιας αυτου [gnt]

The Greek translated as "destroy" is that of "make idle" or "make of no effect" and the Greek translated as "brightness" is that of "appearing".

It appears that the Greek word translated "destroy" is influenced by the Latin Vulgate word "destruo""destroy, demolish, ruin" which is the source of the English words "destroy" and "destruct".

35. 2 Thessalonians 2:8 Revelation
Verse route2 Thessalonians 2:8 And then shall that Wicked be revealed, whom the Lord shall consume with the spirit of his mouth, and shall destroy with the brightness of his coming: [kjv]
Verse routeκαι τοτε αποκαλυφθησεται ο ανομος ον ο κυριος ιησους ανελει τω πνευματι του στοματος αυτου και καταργησει τη επιφανεια της παρουσιας αυτου [gnt]

The "with" appears to have been added in the Greek. Does omitting the "with" change the meaning of "he" or "it"? The Greek word translated as "who" can mean the "being" or "creature". If the "wicked one" is still around (as in the next verses), perhaps the effect is more or less depending on how the individual reacts to the "wicked one". In the next verse, Paul describes these attributes of the "wicked one". The pronoun for "his" is ambiguous. Does the pronoun go with the nearest noun?

36. 2 Thessalonians 2:8
 All 
KJV: And then shall that Wicked be revealed, whom the Lord shall consume with the spirit of his mouth, and shall destroy with the brightness of his coming:
Greek: και τοτε αποκαλυφθησεται ο ανομος ον ο κυριος αναλωσει ιησους ανελει τω πνευματι του στοματος αυτου και καταργησει τη επιφανεια της παρουσιας αυτου
Latin: et tunc revelabitur ille iniquus quem Dominus Iesus interficiet spiritu oris sui et destruet inlustratione adventus sui

37. End of page

by RS  admin@creationpie.org : 1024 x 640