Send
Close Add comments:
(status displays here)
Got it! This site "creationpie.org" uses cookies. You consent to this by clicking on "Got it!" or by continuing to use this website. Note: This appears on each machine/browser from which this site is accessed.
Submitting to submission
1. Submitting to submission
This content is being developed.
2. Submitting to submission
Ephesians 5:21 Submitting yourselves one to another in the fear of God. [kjv]
υποτασσομενοι αλληλοις εν φοβω χριστου [gnt]
5:22 Wives, submit yourselves unto your own husbands, as unto the Lord. [kjv]
αι γυναικες τοις ιδιοις ανδρασιν ως τω κυριω [gnt]
The
TR (Textus Receptus) adds "submit" "
yourselves" "
unto" (to wives) in Ephesians 5:22. The ancient Greek word
"ὑποτάσσω" ≈ "place under" and comes from two Greek words.
The ancient Greek prefix "ῠ̔πο" ≈ "under".
The ancient Greek word "τάσσω" ≈ "arrange, put in order".
The sense appears to be that of arranging oneself in order under proper authority rather than the modern English meaning of
"subjection" which has connotations of "
slavery".
There are logical issues with the word
"place under" when used in certain ways. Some change the meaning of both
"fear" of
"Christ" (
not God) and
"submit" to that of
respect.
3. Ephesians 5:20 Giving thanks
Ephesians 5:20 Giving thanks always for all things unto God and the Father in the name of our Lord Jesus Christ; [kjv]
ευχαριστουντες παντοτε υπερ παντων εν ονοματι του κυριου ημων ιησου χριστου τω θεω και πατρι [gnt]
The
"always" and
"all" do not appear to have restrictions. In Greek, the
"all" should have a context.
4. Ephesians 5:21 Submit to one another
Ephesians 5:21 Submitting yourselves one to another in the fear of God. [kjv]
υποτασσομενοι αλληλοις εν φοβω χριστου [gnt]
The ancient Greek word
"ἀλλήλοις" ≈ "another, each other" (dative plural) of
"ἀλλήλων" ≈ "another, each other". How do
"all" submit to
"each other"? Who is in control. Should not
"Christ" be in control? Are we to do this because of
"fear" of
"Christ"? The
TR changes
"Christ" to "
God".
Consider A and B. To
abstract the problem, let
"submit" be related to
"less than" in some sense since that appears to be an essential part of the meaning of the word.
( A "submits" to B ) and ( B "submits" to A )
( A "is less than" B ) and ( B "is less than" A )
This constraint problem has
no solution. An extended truth table from
propositional logic can be used as a
formal proof.
Why might Paul write a statement that does not have any solution? Why does the
TR need to change the words. Perhaps Paul did not write Ephesians.
5. Submission to each other analyzed
|
Expression tree
|
Truth table
|
 |
A B | ( A < B ) & ( B < A )
---------------------------
0 0 | ( 0 0 0 ) 0 ( 0 0 0 )
0 1 | ( 0 1 1 ) 0 ( 1 0 0 )
1 0 | ( 1 0 0 ) 0 ( 0 1 1 )
1 1 | ( 1 0 1 ) 0 ( 1 0 1 )
|
Let the
relation "submits to" with meaning
"place under" be represented by the operators "
<" (less than, used here) or "
>" (greater than, similar reasoning).
English:
Both (A is
"less than" B)
and (B is
"less than" A).
Since the values under the "
&" column are all
0 (
false), this claim is never true. It is always
false. The same result holds for "
greater than".
Why would Paul write something that is clearly, from a logical point of view,
always false and
never true? Jesus avoids logical issues by using "
not greater" or "
less than or equal to", etc.
One approach, used by some, is to use
opinion where any opinion is considered as good as another opinion. Discuss: When it appears that Jesus is clearly using logic, should one use
opinion to ignore the expressed logic? [Jesus and discourses vs. interacting with common people]
6. Opinion versus logic
One alternative when determining the meaning of verses is to
ignore logic and, instead,
use opinion. Opinions vary from person to person and group to group.
Discuss:
Should opinion be used in place of logic when determining the meaning of verses in the Bible?
If enough people agree on an opinion, is that opinion true?
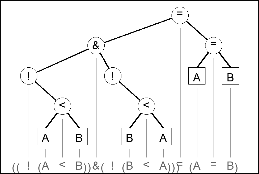
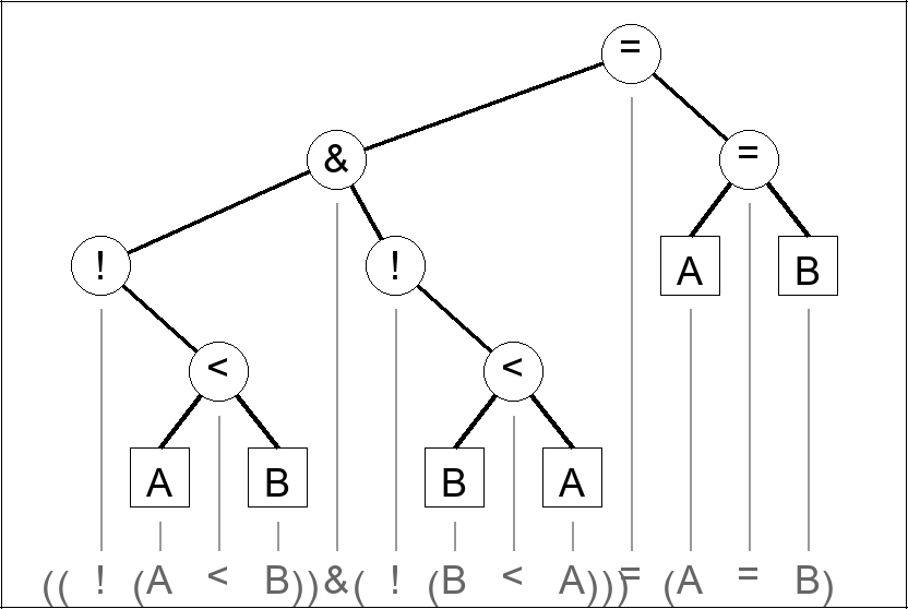
7. Less than or equal
Matthew 10:24 The disciple is not above his master, nor the servant above his lord. [kjv]
ουκ εστιν μαθητης υπερ τον διδασκαλον ουδε δουλος υπερ τον κυριον αυτου [gnt]
What results when
"less than" is replaced with
"not" "less than"?
|
Expression tree
|
Truth table
|
 |
A B | ( ( ! ( A < B ) ) & ( ! ( B < A ) ) ) = ( A = B )
-------------------------------------------------------
0 0 | ( ( 1 ( 0 0 0 ) ) 1 ( 1 ( 0 0 0 ) ) ) 1 ( 0 1 0 )
0 1 | ( ( 0 ( 0 1 1 ) ) 0 ( 1 ( 1 0 0 ) ) ) 1 ( 0 0 1 )
1 0 | ( ( 1 ( 1 0 0 ) ) 0 ( 0 ( 0 1 1 ) ) ) 1 ( 1 0 0 )
1 1 | ( ( 1 ( 1 0 1 ) ) 1 ( 1 ( 1 0 1 ) ) ) 1 ( 1 1 1 )
|
English:
1. both (A is "not" "less than" B) and (B is "not" "less than" A) ...
2. is the same as (that is, "equals") (A "equals" B).
Since the values under the leftmost "
=" column are all
1 (
true), this claim is
always true and
never false. That is, A is the same as B. The same happens with
"not" "greater than".
8. Put it together
Let us put the results together.
False (never true): (A "less than" B) and (B "less than" A)
True (never false): (A "not less than" B) and (B "not less than" A) and implies that A and B are "equal".
Consider these two types of logic.
Which type of logic does Jesus use?
What do people remember when relating the same ideas to Luke?
9. Matthew 10:24 Beelzebub projection
Matthew 10:24 The disciple is not above his master, nor the servant above his lord. [kjv]
ουκ εστιν μαθητης υπερ τον διδασκαλον ουδε δουλος υπερ τον κυριον αυτου [gnt]
The idea of
not above is that of
not greater or
less than or equal to. One would want to be
"above" the "
master" or "
lord" in order to be "
great".
If neither is
"above" or
"over" then perhaps they are at the
same level.
Would any author of a book of the
GNT (Greek New Testament) write that someone should be "
under" or
"over" "
another"?
10. Compare Matthew and Luke
Matthew 10:37 He that loveth father or mother more than me is not worthy of me: and he that loveth son or daughter more than me is not worthy of me. [kjv]
ο φιλων πατερα η μητερα υπερ εμε ουκ εστιν μου αξιος και ο φιλων υιον η θυγατερα υπερ εμε ουκ εστιν μου αξιος [gnt]
Luke 14:26 If any man come to me, and hate not his father, and mother, and wife, and children, and brethren, and sisters, yea, and his own life also, he cannot be my disciple. [kjv]
ει τις ερχεται προς με και ου μισει τον πατερα εαυτου και την μητερα και την γυναικα και τα τεκνα και τους αδελφους και τας αδελφας ετι τε και την ψυχην εαυτου ου δυναται ειναι μου μαθητης [gnt]
Now we have a context for the verse in Luke about
"hate" and the verse in Matthew about "
love". What do each of these verses mean and how do they relate?
The key to the connection is to understand the logical meaning "
more than" in Matthew 10:37. The Greek word is that of "
over" which has the same logical meaning as "
more than".
11. Table comparison
| Book |
Spoken by Jesus |
Same meaning |
Status |
| Matthew |
not (family > Jesus) |
family ≤ Jesus |
correct |
| Luke |
not (family > Jesus) |
family < Jesus |
incorrect |
Correct logic: Matthew writes down and reports what Jesus spoke.
You should "love" Jesus.
Your family must be "less than or equal to" Jesus. (correct)
You must not "love" (nor condone) the worldly part of your family that are against God more than Jesus.
The
incorrect logic goes as follows. Luke reports what was remembered.
You should "love" Jesus.
Your family must be "less than" Jesus. (incorrect)
The opposite of "love" is "hate" (two choices).
Therefore, you must "hate" your family. (incorrect)
12. Comparison
How do Jesus and Paul handle the relations
"less than" and "
not less than", or, similarly, "
greater than" or "
not greater than"?
Jesus uses valid logic.
What people remember and tell Luke uses invalid logic in that negation is not handled properly.
Paul, or what is attributed to Paul, uses invalid logic.
Note that students in introductory (and sometimes advanced) programming logic sometimes use invalid logic involving negation.
13. Ephesians 5:22 Wives
Ephesians 5:22 Wives, submit yourselves unto your own husbands, as unto the Lord. [kjv]
αι γυναικες τοις ιδιοις ανδρασιν ως τω κυριω [gnt]
In 5:21, the
TR adds
"submit" "
yourselves" "
unto".
What is Paul trying to imply without actually saying it?
Wives should be under or "less than" their husbands?
Some wives who want to be "over" their husbands should be "under" their husbands.
The meaning is hard to determine since, in the previous verse, Paul (or the writer of Ephesians) is not using valid logic.
14. Ephesians 5:20
KJV: Giving thanks always for all things unto God and the Father in the name of our Lord Jesus Christ;
Greek: ευχαριστουντες παντοτε υπερ παντων εν ονοματι του κυριου ημων ιησου χριστου τω θεω και πατρι
15. Ephesians 5:21
KJV: Submitting yourselves one to another in the fear of God.
Greek: υποτασσομενοι αλληλοις εν φοβω θεου χριστου
16. Ephesians 5:22
KJV: Wives, submit yourselves unto your own husbands, as unto the Lord.
Greek: αι γυναικες τοις ιδιοις ανδρασιν υποτασσεσθε ως τω κυριω
17. 1 Timothy 2:11
1 Timothy 2:11 Let the woman learn in silence with all subjection. [kjv]
γυνη εν ησυχια μανθανετω εν παση υποταγη [gnt]
18. 1 Timothy 2:11
KJV: Let the woman learn in silence with all subjection.
Greek: γυνη εν ησυχια μανθανετω εν παση υποταγη
Latin: mulier in silentio discat cum omni subiectione
Spanish: La mujer aprenda en silencio, con toda sujeción.
Portuguese: A mulher receba a instrução em silêncio, com toda a submissão.
19. Strongs - subjection
*G5292 *4 ὑποταγή (hoop-ot-ag-ay') : from G5293 ὑποτάσσω; subordination:--subjection.
*G5293 *38 ὑποτάσσω (hoop-ot-as'-so) : from G5259 and G5021; to subordinate; reflexively, to obey:--be under obedience (obedient), put under, subdue unto, (be, make) subject (to, unto), be (put) in subjection (to, under), submit self unto.
 |
Words: υπεταγη υπεταγησαν υπεταξας υπεταξεν=3 υποταγεντων υποταγη=5 υποταγησεται υποταγησομεθα υποταγητε=3 υποταξαι=2 υποταξαντα υποταξαντι υποταξαντος υποτασσεσθαι=3 υποτασσεσθε υποτασσεσθω υποτασσεσθωσαν υποτασσεται=5 υποτασσησθε υποτασσομεναι=2 υποτασσομενας υποτασσομενοι=2 υποτασσομενος υποτεταγμενα υποτετακται
|
20. Usage - subjection
- *G5292 *4 ὑποταγή (hoop-ot-ag-ay') : from G5293 ὑποτάσσω; subordination:--subjection.
- υποταγη *4
- 2 Corinthians 9:13 ... for your professed subjection unto the gospel of Christ, ...
- Galatians 2:5 To whom we gave place by subjection, no, not for an hour; ...
- 1 Timothy 2:11 ... silence with all subjection.
- 1 Timothy 3:4 ... having his children in subjection with all gravity;
- *G5293 *38 ὑποτάσσω (hoop-ot-as'-so) : from G5259 and G5021; to subordinate; reflexively, to obey:--be under obedience (obedient), put under, subdue unto, (be, make) subject (to, unto), be (put) in subjection (to, under), submit self unto.
- υποτασσεται *5
- Luke 10:17 ... Lord, even the devils are subject unto us through thy name.
- Luke 10:20 ... not, that the spirits are subject unto you; but rather ...
- Romans 8:7 ... God: for it is not subject to the law of God, ...
- 1 Corinthians 14:32 And the spirits of the prophets are subject to the prophets.
- Ephesians 5:24 Therefore as the church is subject unto Christ, so let the wives ...
- υποτασσεσθαι *3
- Romans 13:5 Wherefore ye must needs be subject, not only for ...
- Titus 2:9 Exhort servants to be obedient unto their own masters, and to please ...
- Titus 3:1 Put them in mind to be subject to principalities and powers, ...
- υπεταξεν *3
- 1 Corinthians 15:27 For he hath put all things under his feet. But when he saith all things are put under him, it is manifest that ...
- Ephesians 1:22 And hath put all things under his feet, ...
- Hebrews 2:5 For unto the angels hath he not put in subjection the world to come, ...
- υποταγητε *3
- James 4:7 Submit yourselves therefore to God. Resist the devil, and ...
- 1 Peter 2:13 Submit yourselves to every ordinance of man for the Lord's sake: ...
- 1 Peter 5:5 Likewise, ye younger, submit yourselves unto the elder. Yea, all of you be subject one to another, and be clothed with humility: ...
- υποτασσομενοι *2
- Ephesians 5:21 Submitting yourselves one to another in the fear of God.
- 1 Peter 2:18 Servants, be subject to your masters with all ...
- υποταξαι *2
- Philippians 3:21 ... he is able even to subdue all things unto himself.
- Hebrews 2:8 Thou hast put all things in subjection under his feet. ...
- υποτασσομεναι *2
- 1 Peter 3:1 Likewise, ye wives, be in subjection to your own husbands; that, ...
- 1 Peter 3:5 ... God, adorned themselves, being in subjection unto their own husbands:
- υποτασσομενος
- Luke 2:51 ... Nazareth, and was subject unto them: but his ...
- υπεταγη
- Romans 8:20 For the creature was made subject to vanity, not willingly, but by reason of him who hath subjected the same in hope,
- υποταξαντα
- Romans 8:20 For the creature was made subject to vanity, not willingly, but by reason of him who hath subjected the same in hope,
- υπεταγησαν
- Romans 10:3 ... their own righteousness, have not submitted themselves unto the righteousness of God.
- υποτασσεσθω
- Romans 13:1 Let every soul be subject unto the higher powers. For ...
- υποτασσεσθωσαν
- 1 Corinthians 14:34 ... unto them to speak; but they are commanded to be under obedience, as also saith the law.
- υποτετακται
- 1 Corinthians 15:27 For he hath put all things under his feet. But when he saith all things are put under him, it is manifest that ...
- υποταξαντος
- 1 Corinthians 15:27 For he hath put all things under his feet. But when he saith all things are put under him, it is manifest that ...
- υποταγη
- 1 Corinthians 15:28 And when all things shall be subdued unto him, then shall the Son also ...
- υποταγησεται
- 1 Corinthians 15:28 And when all things shall be subdued unto him, then shall the Son also ...
- υποταξαντι
- 1 Corinthians 15:28 And when all things shall be subdued unto him, then shall the Son also ...
- υποτασσησθε
- 1 Corinthians 16:16 That ye submit yourselves unto such, and to every one ...
- υποτασσεσθε
- Colossians 3:18 Wives, submit yourselves unto your own husbands, as it is fit ...
- υποτασσομενας
- Titus 2:5 To be discreet, chaste, keepers at home, good, obedient to their own husbands, that ...
- υπεταξας
- Hebrews 2:8 Thou hast put all things in subjection under his feet. ...
- υποτεταγμενα
- Hebrews 2:8 Thou hast put all things in subjection under his feet. ...
- υποταγησομεθα
- Hebrews 12:9 ... we gave them reverence: shall we not much rather be in subjection unto the Father of spirits, ...
- υποταγεντων
- 1 Peter 3:22 ... authorities and powers being made subject unto him.
21. Psalms 62:1
Psalms 62:1 Truly my soul waiteth upon God: from him cometh my salvation. [kjv]
εις το τελος υπερ ιδιθουν ψαλμος τω δαυιδ ουχι τω θεω υποταγησεται η ψυχη μου παρ αυτου γαρ το σωτηριον μου [lxx]
The
LXX (Septuagint) uses the same word in an interesting way. The sense is that of waiting patiently or peacefully.
22. Psalms 62:1
KJV: Truly my soul waiteth upon God: from him cometh my salvation.
Hebrew: למנצח על ידותון מזמור לדוד אך אל אלהים דומיה נפשי ממנו ישועתי׃
Greek: εις το τελος υπερ ιδιθουν ψαλμος τω δαυιδ ουχι τω θεω υποταγησεται η ψυχη μου παρ αυτου γαρ το σωτηριον μου
23. Psalms 62:5
Psalms 62:5 My soul, wait thou only upon God; for my expectation is from him. [kjv]
πλην τω θεω υποταγηθι η ψυχη μου οτι παρ αυτου η υπομονη μου [lxx]
24. Psalms 62:5
KJV: My soul, wait thou only upon God; for my expectation is from him.
Hebrew: אך לאלהים דומי נפשי כי ממנו תקותי׃
Greek: πλην τω θεω υποταγηθι η ψυχη μου οτι παρ αυτου η υπομονη μου
25. End of page