Send
Close Add comments:
(status displays here)
Got it! This site "creationpie.org" uses cookies. You consent to this by clicking on "Got it!" or by continuing to use this website. Note: This appears on each machine/browser from which this site is accessed.
Pluck out and cut off in Matthew related
1. Matthew 5:29-30 Similar verses
Matthew 5:29 And if thy right eye offend thee, pluck it out, and cast it from thee: for it is profitable for thee that one of thy members should perish, and not that thy whole body should be cast into hell. [kjv]
5:30 And if thy right hand offend thee, cut it off, and cast it from thee: for it is profitable for thee that one of thy members should perish, and not that thy whole body should be cast into hell. [kjv]
These verses in Matthew 5 are similar and yet different from the corresponding verses in Matthew 18.
2. Matthew 18:8-9 Similar verses
Matthew 18:8 Wherefore if thy hand or thy foot offend thee, cut them off, and cast them from thee: it is better for thee to enter into life halt or maimed, rather than having two hands or two feet to be cast into everlasting fire. [kjv]
18:9 And if thine eye offend thee, pluck it out, and cast it from thee: it is better for thee to enter into life with one eye, rather than having two eyes to be cast into hell fire. [kjv]
These verses in Matthew 18 are similar and yet different from the corresponding verses in Matthew 5.
To simply the analysis, only the "
eye" verses will be used.
3. Pluck out and cut off in Matthew related
Matthew 5:29 And if thy right eye offend thee, pluck it out, and cast it from thee: for it is profitable for thee that one of thy members should perish, and not that thy whole body should be cast into hell. [kjv]
18:9 And if thine eye offend thee, pluck it out, and cast it from thee: it is better for thee to enter into life with one eye, rather than having two eyes to be cast into hell fire. [kjv]
These verses, one in Matthew 5 and one in Matthew 18 appear similar. Can you explain the similarity and differences?
Why "right" in Matthew 5 and not in Matthew 18? Let us ignore that for now.
What does it mean to be "profitable"? What does it mean to be "better"? Are these correct translations?
Let us ignore any differences between "hell" and "hell fire".
Are these verses saying the same thing? Are they saying something different?
4. Similar verses in Matthew
Matthew 5:29 And if thy right eye offend thee, pluck it out, and cast it from thee: for it is profitable for thee that one of thy members should perish, and not that thy whole body should be cast into hell. [kjv]
18:9 And if thine eye offend thee, pluck it out, and cast it from thee: it is better for thee to enter into life with one eye, rather than having two eyes to be cast into hell fire. [kjv]
Jesus uses a
different Greek word in Matthew 5:29 than in Matthew 18:9. In both cases the
KJV (King James Version) makes a
value decision on which is more
"profitable" or
"better" whereas Jesus, as usual, does
not make a
value decision but appears to be providing two ways of saying something similar (or opposite). In Matthew 18:9 Jesus uses
"good" or
"right" for what is translated as
"better".
As a reader, one should make a
value decision but, in this case, the translators make the
value decision for the reader.
5. Matthew 5:29 Carried together
Matthew 5:29 And if thy right eye offend thee, pluck it out, and cast it from thee: for it is profitable for thee that one of thy members should perish, and not that thy whole body should be cast into hell. [kjv]
ει δε ο οφθαλμος σου ο δεξιος σκανδαλιζει σε εξελε αυτον και βαλε απο σου συμφερει γαρ σοι ινα αποληται εν των μελων σου και μη ολον το σωμα σου βληθη εις γεενναν [gnt]

The ancient Greek word
"συμφέρω" ≈ "bring together, work with, to be carried along with" and means, literally,
"carry together".
The
KJV translates this word as
"profitable" while Jesus uses this word in the more literal sense of the before and after being
"carried together". Here are the similar ideas
"carried together" involving the
"eye" at the start of each clause.
Before: the eye entraps so separate from it.
After: the member (eye) perishes and not the whole body.
6. Matthew 18:9 Good and not carried together
Matthew 18:9 And if thine eye offend thee, pluck it out, and cast it from thee: it is better for thee to enter into life with one eye, rather than having two eyes to be cast into hell fire. [kjv]
και ει ο οφθαλμος σου σκανδαλιζει σε εξελε αυτον και βαλε απο σου καλον σοι εστιν μονοφθαλμον εις την ζωην εισελθειν η δυο οφθαλμους εχοντα βληθηναι εις την γεενναν του πυρος [gnt]
Matthew 18:9:
"καλός" ≈ "beautiful, good, right". The
KJV translates this word as
"better". Jesus does
not use the Greek word for
"carry together" here. Doing so would
break the model of how he uses that word.
Here are the
not similar ideas and
not "carried together", involving the
"eye" and then "
you".
Before: the eye entraps so separate from it.
After: you enter life with one eye.
7. Similar verses in Matthew
Matthew 5:29 And if thy right eye offend thee, pluck it out, and cast it from thee: for it is profitable for thee that one of thy members should perish, and not that thy whole body should be cast into hell. [kjv]
18:9 And if thine eye offend thee, pluck it out, and cast it from thee: it is better for thee to enter into life with one eye, rather than having two eyes to be cast into hell fire. [kjv]
Matthew 5:29: Similar ideas
"carried together" involving the
"eye" at the start of each clause.
Before: the eye entraps so separate from it.
After: the member (eye) perishes and not the whole body.
Matthew 18:9:
Not similar ideas and
not "carried together", involving the
"eye" and then "
you".
Before: the eye entraps so separate from it.
After: you enter life with one eye.
The Greek word for
"carried together" had been used by Jesus three verses earlier.
8. Similar verses in Matthew
Matthew 5:29 And if thy right eye offend thee, pluck it out, and cast it from thee: for it is profitable for thee that one of thy members should perish, and not that thy whole body should be cast into hell. [kjv]
18:9 And if thine eye offend thee, pluck it out, and cast it from thee: it is better for thee to enter into life with one eye, rather than having two eyes to be cast into hell fire. [kjv]
Verse comparison summary:
Matthew 5:29: "carry together" the same idea before and after.
Matthew 18:9: different ideas before and after, so the word "good" as "right" is used to not break the model.
This pattern or model reinforces the idea that the use of
"carry together" in 18:6, three verses earlier, should fit the model. The
"he" can be
"it" and matches the
"one" "little one". This leads to Peter's insightful question about forgiving the one who entraps.
18:6 But whoso shall offend one of these little ones which believe in me, it were better for him that a millstone were hanged about his neck, and that he were drowned in the depth of the sea. [kjv]
9. Observations in Matthew
Matthew 5:29 And if thy right eye offend thee, pluck it out, and cast it from thee: for it is profitable for thee that one of thy members should perish, and not that thy whole body should be cast into hell. [kjv]
18:9 And if thine eye offend thee, pluck it out, and cast it from thee: it is better for thee to enter into life with one eye, rather than having two eyes to be cast into hell fire. [kjv]
The similarities become apparent with the following transformations.
One (or more) Greek words are translated correctly.
A questionable inference is corrected
A simple logical observation is made for the verse in Matthew 5.
Two-valued truth table logic from the mid 1800's is used.
10. Matthew 18:9 Questions and statements
Matthew 18:9 And if thine eye offend thee, pluck it out, and cast it from thee: it is better for thee to enter into life with one eye, rather than having two eyes to be cast into hell fire. [kjv]
και ει ο οφθαλμος σου σκανδαλιζει σε εξελε αυτον και βαλε απο σου καλον σοι εστιν μονοφθαλμον εις την ζωην εισελθειν η δυο οφθαλμους εχοντα βληθηναι εις την γεενναν του πυρος [gnt]
English has ways to unambiguously express a question. In many languages, including Greek, a statement and a question are written in exactly the same way.
To make a statement a question, one raises the voice at the end of the statement. These non-written hints are not in the Greek text.
Greek word order:
... good (for/to) you is one-eye into the life go ...
This part of the verse can be either a statement
or a question. Traditional translations have assumed that it is a statement.
11. Matthew 18:9 Question and answer
Matthew 18:9 And if thine eye offend thee, pluck it out, and cast it from thee: it is better for thee to enter into life with one eye, rather than having two eyes to be cast into hell fire. [kjv]
και ει ο οφθαλμος σου σκανδαλιζει σε εξελε αυτον και βαλε απο σου καλον σοι εστιν μονοφθαλμον εις την ζωην εισελθειν η δυο οφθαλμους εχοντα βληθηναι εις την γεενναν του πυρος [gnt]
What Jesus says can be either a statement or a question. To make it a statement, the Greek word for "
or" needs to be translated as "
rather than". Consider the second part of the verse.
Let A be "enter into life one-eyed".
Let B be "having two eyes and cast into hell".
To support the first alternative being "
better" the word for "
or" is translated as "
rather than".
Translated as a statement: It is better for A rather than B.
Translated as a question: Is it better for A or B?
Let us now look at Matthew 5:29.
12. Question and answer
Matthew 5:29 And if thy right eye offend thee, pluck it out, and cast it from thee: for it is profitable for thee that one of thy members should perish, and not that thy whole body should be cast into hell. [kjv]
ει δε ο οφθαλμος σου ο δεξιος σκανδαλιζει σε εξελε αυτον και βαλε απο σου συμφερει γαρ σοι ινα αποληται εν των μελων σου και μη ολον το σωμα σου βληθη εις γεενναν [gnt]
The word translated as "
profitable" means "
carry together" and is used by Jesus to say "
carry these two (nearby) ideas together". Consider the second part of the verse.
Let not A be "one of the members (the eye) perish" so that A is "one of the members (the eye) live".
Let not B be "not the whole body cast into hell" so that B is "whole body cast into hell".
To support the first alternative being "
profitable" the word for "
carry together" is translated that way.
Translated as a statement: Better for A than not B.
Translated as a question: Taken/carried together it is (not A) and (not B)
13. Rewrite
Simplified expressions:
Matthew 5:29: (not A) and (not B)
Matthew 5:29: not (A or B) by DeMorgan's law.
Matthew 18:9: A or B
By DeMorgan's Law for propositional logic (i.e., truth table logic), from the mid 1800's, these are opposites. This can be useful for getting showing both sides of a conditional probability.
Matthew 5:29: carry together these two ideas (in this case, that follow)
Matthew 18:9: which is the better of the two (in this case, that follow)
In neither case is Jesus making a value judgment as to which is "
better" or "
expedient". It should be clear which is more "
better" or "
expedient" but that is implied and left to be inferred and not stated unequivocally.
14. DeMorgan build
|
DeMorgan's Law for propositional logic (i.e., truth table logic) are from the mid 1800's and named after Augustus De Morgan (1806-1871). He tutored (mostly via correspondence) Ada Lovelace, considered the first programmer, in the early 1840's.
|
15. Equivalence of the verses
Matthew 5:29 And if thy right eye offend thee, pluck it out, and cast it from thee: for it is profitable for thee that one of thy members should perish, and not that thy whole body should be cast into hell. [kjv]
18:9 And if thine eye offend thee, pluck it out, and cast it from thee: it is better for thee to enter into life with one eye, rather than having two eyes to be cast into hell fire. [kjv]
Though not apparent without logical analysis, the following parts of the above verses are opposites.
Matthew 5:29: ... one of thy members should perish and not that thy whole body should be cast into hell.
Matthew 18:9: ... enter into life with one eye or (rather than) having two eyes to be cast into hell fire.
Simplified expressions that say the same thing.
Matthew 5:29: (not A) and (not B)
Matthew 5:29: not (A or B) by DeMorgan's law.
Matthew 18:9: A or B
16. DeMorgan's Laws
17. DeMorgan build
|
DeMorgan's Law for propositional logic (i.e., truth table logic) are from the mid 1800's and named after Augustus De Morgan (1806-1871). He tutored (mostly via correspondence) Ada Lovelace, considered the first programmer, in the early 1840's.
|
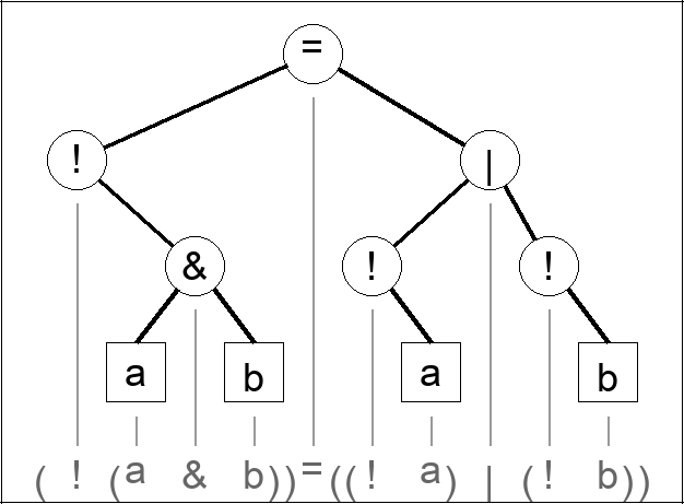
18. DeMorgan's laws

DeMorgan's laws are always useful for reasoning about programs, especially loops and conditional statements. Here is one of DeMorgan's laws.
a b | ( ! ( a & b ) ) = ( ( ! a ) | ( ! b ) )
---------------------------------------------
0 0 | ( 1 ( 0 0 0 ) ) 1 ( ( 1 0 ) 1 ( 1 0 ) )
0 1 | ( 1 ( 0 0 1 ) ) 1 ( ( 1 0 ) 1 ( 0 1 ) )
1 0 | ( 1 ( 1 0 0 ) ) 1 ( ( 0 1 ) 1 ( 1 0 ) )
1 1 | ( 0 ( 1 1 1 ) ) 1 ( ( 0 1 ) 0 ( 0 1 ) )
The extended truth table constitutes a proof of the law since all values under the "
=" are
1.
DeMorgan's laws can be used to flip the then part and else part of an if construct in an algebraic manner. Here are some equivalent ways.
if (a & b) { p2 } else { p1 }
if (! (a & b)) { p1 } else { p2 }
if ((!a) | (!b)) { p2 } else { p1 }
19. DeMorgan's laws

Here is another way to express DeMorgan's laws.
a b | ( ! ( a | b ) ) = ( ( ! a ) & ( ! b ) )
---------------------------------------------
0 0 | ( 1 ( 0 0 0 ) ) 1 ( ( 1 0 ) 1 ( 1 0 ) )
0 1 | ( 0 ( 0 1 1 ) ) 1 ( ( 1 0 ) 0 ( 0 1 ) )
1 0 | ( 0 ( 1 1 0 ) ) 1 ( ( 0 1 ) 0 ( 1 0 ) )
1 1 | ( 0 ( 1 1 1 ) ) 1 ( ( 0 1 ) 0 ( 0 1 ) )
The extended truth table constitutes a proof of the law since all values under the "
=" are
1.
DeMorgan's laws can be used to flip the then part and else part of an if construct in an algebraic manner. Here are some equivalent ways.
if (a | b) { p 2 } else { p1 }
if (! (a | b)) { p1 } else { p2 }
if ((!a) & (!b)) { p2 } else { p1 }
20. DeMorgan's Laws
It appears that DeMorgan's Law is needed to fully analyze what Jesus says about mammon in Matthew 6:24.
21. End of page