Send
Close Add comments:
(status displays here)
Got it! This site "creationpie.org" uses cookies. You consent to this by clicking on "Got it!" or by continuing to use this website. Note: This appears on each machine/browser from which this site is accessed.
Self-referential paradoxes
1. Self-referential paradoxes
2. Progression

Optical illusions are paradoxes that deceive the eye. A logical progression of paradoxes is as follows.
Self-reference or reflexive properties
Recursive reasoning (nested to smaller instances, well defined)
Circular reasoning (has one or more loops, never ends)
The above with negation (source of many paradoxes)
3. Logical paradoxes
Logical paradoxes often arise when two idea are combined.
Universal quantification as in "for all" is "true" (or "false") or existence quantification such as "there exists" is "true" (or "false").
Logical negation is in "all but something" is "true" (or "false").

The former introduces in "
infinity" and the latter can create a paradox, especially when what is stated refers (reflexively) to itself.
4. Paradoxes: Beyond expectation of a parallel glory
Luke 5:26 And they were all amazed, and they glorified God, and were filled with fear, saying, We have seen strange things to day. [kjv]
και εκστασις ελαβεν απαντας και εδοξαζον τον θεον και επλησθησαν φοβου λεγοντες οτι ειδαμεν παραδοξα σημερον [gnt]

The ancient Greek word
"παράδοξος" ≈ "beyond expectation, strange" and is the source of the English word
"paradox" and comes from two Greek words.
The ancient Greek prefix "παρά" ≈ "beyond", not (modern) "parallel".
The ancient Greek word "δόξα" ≈ "opinion, expectation" , not (modern) "glory".
Which makes more sense for
"paradox"?
"beyond" "expectation" (original Greek definitions)
"parallel" "glory" (contrived GNT (Greek New Testament) definitions)
5. Self-referential statements

Sometimes one is so used to a self-referential statement that one does not even think about it. Consider the
SASE (Self Addressed Stamped Envelope).
Have you ever heard something like "
... send a self-addressed envelope ... "?

Think about it. How is an envelope going to "
self-address" itself?
Or, if you are the "
self", do you "
self-address" yourself? Do you address yourself as "
me" or "
I"?
I would tell a salad joke right now, but my salad jokes need addressing too!
6. Self-help books
Does a self-help book help the book itself?
No, the self-help book is intended to help the person who is reading it themselves.
7. Blank pages build
Have you ever seen a page that said something like "
Purposely left blank"? This might be done for clarity.
8. Blank pages
9. Sign

What about the sign on a road that says, "
Dangerous Road: No Warning Signs"? Is not that sign a warning sign?
10. Braille

What about the sign in Braille on a stove that says (in English and in Braille) "
Hot! Do not touch!"? How is a blind person supposed to find out not to touch it until it is too late?
11. Sight

And one sometimes sees signs such as "
Do not look at this!".
Billboards will use this as advertising, such as "
Caught you looking. Advertise here.". Which means, they did not sell that space so they need to self-advertise.
Some thing happens when networks cannot sell advertising. They may just advertise themselves.
12. Thinking about parking

The first time I saw a street sign that read "
Don't even think of parking here" my first thought was, "
ok, what if I park there without even thinking about what I was doing". Would I then be in violation of the sign?
Literally, one who "
does not think" about it would not have a logical issue parking there. Of course, what do I know. Maybe, like Socrates (or Sergeant Shultz), "
I know nothing". Does that make sense?
Should one be making decisions without considering the matter, or at least thinking about it?
13. Other examples
Paradoxes such as the above (and below) are at the heart of computational theory, logic, etc.
Sign on the only door to a printer room: "This door is to remain closed at all times". Someone (not me) wrote below, "How do I get out?".
Sign on a piano in the choir room. "Nothing is to be placed on this piano". I asked the choir director, "What about the sign?".
14. Meta-mistakes
A meta-mistake is a mistake about making a mistake.
I made a mistake once, but then I found out I was wrong about it.
Was a mistake made? How many mistakes were made?
15. Bertrand Russell
Bertrand Russell (1872-1970) was a famous mathematician and humanist/socialist. The Russell Paradox (1901), a fundamental paradox in logic. is named after him. The Russell Paradox appears in reality in many forms.
This statement is false.
You must hate all forms of hate.
You must not tolerate intolerance.
It is interesting when people are pressed to reconcile, say, the toleration paradox, with ideas such as, say, inclusiveness, they fall back on the type system of Russell that did not resolve the logical issue. The only solution appears to be to give up on actual logic but pretend to be using logic.
16. Short forms
Some short forms of the Russell Paradox are the following.
This statement is false.
I am lying.
Is no your answer to this question?
Pinocchio: My nose will grow now.
There is no resolution of the Russell paradox in logic, computability or information within the system under consideration.
Gödel (mathematics): Incompletness (must go outside the system)
Turing (computation): Incomputability (must go outside the system).
Chaiten (information): Randomness (must go outside the system).
Gödel told Chaiten (by phone, Gödel avoided meeting people) that it does not matter which paradox one uses.
17. Short form
Here is a short form of the Russell paradox.
Self-referential statements (with negation) are the source of many logical paradoxes.

Here is a textual statement of the above diagram, where the "
this" implies the arrow and reflexive relationship.
This statement is false.
18. Paradox
The above paradox in one statement can be split into two (or more) parts making the paradox a little less evident.

Here is a textual form of the above diagram.
#1: #2 is true
#2: #1 is false
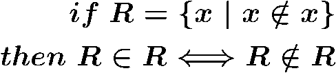
19. Mathematical statement
Here is a mathematical statement of this Russell paradox.

English: If
R is a relation that consists of the set of
x such that
x is not an element of
x, then
R belongs to
R (itself) implies (both ways) that
R does not belong to
R (itself).
20. If then formulas
The following logical formulas are equivalent, for condition
B and expression/formula
E.
Forward-chaining, bottom-up, inductive logic.

Backward-chaining, top-down, deductive logic.
21. Russel paradox: barber paradox
The
barber paradox was used by Bertrand Russell to illustrate the Russell Paradox.
Consider only men: The barber paradox supposes a barber who shaves all men who do not shave themselves and only men who do not shave themselves. Should the barber shave himself?
Here is a mathematical statement of the
barber paradox. Let
x and
y be men.

Aside: Everyone is assumed to need shaving. If you look in the mirror, and see that you really need shaved (saved), remember, you cannot shave yourself. You are shaved by (through) grace.
22. Russel paradox: list paradox
A catalog is a list. What about the "list of all lists"? If the "List of all lists that do not contain themselves" contains itself, then it does not belong to itself and should be removed. However, if it does not list itself, then it should be added to itself.
23. Lying
I make this statement.
I always lie? Am I telling the truth?
Is there a logical problem here?
If I always lie, than what I say is not true.
If I always tell the truth, then I am lying.
24. Titus 1:12-13 The Epimenides paradox about Cretans
Titus 1:12 One of themselves, even a prophet of their own, said, The Cretians are alway liars, evil beasts, slow bellies. [kjv]
ειπεν τις εξ αυτων ιδιος αυτων προφητης κρητες αει ψευσται κακα θηρια γαστερες αργαι [gnt]
1:13 This witness is true. Wherefore rebuke them sharply, that they may be sound in the faith; [kjv]
η μαρτυρια αυτη εστιν αληθης δι ην αιτιαν ελεγχε αυτους αποτομως ινα υγιαινωσιν εν τη πιστει [gnt]
Russell paradox:
"I am lying". This is a self-referential paradox that results in an infinite regress. (no solution)
Cretan paradox: "
All people are liars". One truth-teller makes that person a liar. No contradiction or paradox. (simple solution)
The phrase "
All Cretans are liars" is known as the "
Epimenides paradox". Unlike the modern "
Russell paradox" to which it is often compared, the Epimenides paradox has a simple solution and does not make what Paul says in Titus 1 incorrect.
[out-lier]
25. End of page