Send
Close Add comments:
(status displays here)
Got it! This site "creationpie.org" uses cookies. You consent to this by clicking on "Got it!" or by continuing to use this website. Note: This appears on each machine/browser from which this site is accessed.
Electrum and electrons
1. Electrum and electrons
2. Ezekiel 1:4
Ezekiel 1:4 And I looked, and, behold, a whirlwind came out of the north, a great cloud, and a fire infolding itself, and a brightness was about it, and out of the midst thereof as the colour of amber, out of the midst of the fire. [kjv]
και ειδον και ιδου πνευμα εξαιρον ηρχετο απο βορρα και νεφελη μεγαλη εν αυτω και φεγγος κυκλω αυτου και πυρ εξαστραπτον και εν τω μεσω αυτου ως ορασις ηλεκτρου εν μεσω του πυρος και φεγγος εν αυτω [lxx]
… species electri … [v]
The Latin word
"electri" ≈ "amber".
The modern Greek word
"όραση" (O-ra-see) ≈ "vision, sight".
The modern Greek word
"όρος" (O-ros) ≈ "mountain, definition, boundary" is the origin of the English word "
horizon" through the Latin word
"horizon" ≈ "horizon" and is related to the Greek word for vision or sight since the horizon is the boundary of what can be seen.
3. Ezekiel 1:4
KJV: And I looked, and, behold, a whirlwind came out of the north, a great cloud, and a fire infolding itself, and a brightness was about it, and out of the midst thereof as the colour of amber, out of the midst of the fire.
Hebrew: וארא והנה רוח סערה באה מן הצפון ענן גדול ואש מתלקחת ונגה לו סביב ומתוכה כעין החשמל מתוך האש׃
Greek: και ειδον και ιδου πνευμα εξαιρον ηρχετο απο βορρα και νεφελη μεγαλη εν αυτω και φεγγος κυκλω αυτου και πυρ εξαστραπτον και εν τω μεσω αυτου ως ορασις ηλεκτρου εν μεσω του πυρος και φεγγος εν αυτω
Latin: et vidi et ecce ventus turbinis veniebat ab aquilone et nubes magna et ignis involvens et splendor in circuitu eius et de medio eius quasi species electri id est de medio ignis
Wycliffe: And Y siy, and lo! a whirlewynd cam fro the north, and a greet cloude, and fier wlappynge in, and briytnesse in the cumpas therof; and as the licnesse of electre fro the myddis therof, that is, fro the myddis of the fier.
4. Ezekiel 1:27
Ezekiel 1:27 And I saw as the colour of amber, as the appearance of fire round about within it, from the appearance of his loins even upward, and from the appearance of his loins even downward, I saw as it were the appearance of fire, and it had brightness round about. [kjv]
και ειδον ως οψιν ηλεκτρου απο ορασεως οσφυος και επανω και απο ορασεως οσφυος και εως κατω ειδον ως ορασιν πυρος και το φεγγος αυτου κυκλω [lxx]
… speciem electri … [v]
… licnesse … electre… [wy]
The ancient Greek word
"όψις" (O-psees) ≈ "view" from which we get English words such as "
optical", "
optometry", etc.
5. Ezekiel 1:27
KJV: And I saw as the colour of amber, as the appearance of fire round about within it, from the appearance of his loins even upward, and from the appearance of his loins even downward, I saw as it were the appearance of fire, and it had brightness round about.
Hebrew: וארא כעין חשמל כמראה אש בית לה סביב ממראה מתניו ולמעלה וממראה מתניו ולמטה ראיתי כמראה אש ונגה לו סביב׃
Greek: και ειδον ως οψιν ηλεκτρου απο ορασεως οσφυος και επανω και απο ορασεως οσφυος και εως κατω ειδον ως ορασιν πυρος και το φεγγος αυτου κυκλω
Latin: et vidi quasi speciem electri velut aspectum ignis intrinsecus eius per circuitum a lumbis eius et desuper et a lumbis eius usque deorsum vidi quasi speciem ignis splendentis in circuitu
Wycliffe: And Y siy as a licnesse of electre, as the biholding of fier with ynne, bi the cumpas therof; fro the lendis of hym and aboue, and fro the lendis of him til to bynethe, Y siy as the licnesse of fier schynynge in cumpas,
6. Ezekiel 8:2 Amber
Ezekiel 8:2 Then I beheld, and lo a likeness as the appearance of fire: from the appearance of his loins even downward, fire; and from his loins even upward, as the appearance of brightness, as the colour of amber. [kjv]
και ειδον και ιδου ομοιωμα ανδρος απο της οσφυος αυτου και εως κατω πυρ και απο της οσφυος αυτου υπερανω ως ορασις ηλεκτρου [lxx]
… visio electri [v]
… siyt … electre. [wy]
What is "
amber"? Amber is a yellow fossilized resin of evergreen trees. It was known to the Greeks that rubbing amber with a dry cloth produced what today is called static electricity. The ancient Greek term for "
amber" was used to name the electricity, the electron, etc.
7. Ezekiel 8:2
KJV: Then I beheld, and lo a likeness as the appearance of fire: from the appearance of his loins even downward, fire; and from his loins even upward, as the appearance of brightness, as the colour of amber.
Hebrew: ואראה והנה דמות כמראה אש ממראה מתניו ולמטה אש וממתניו ולמעלה כמראה זהר כעין החשמלה׃
Greek: και ειδον και ιδου ομοιωμα ανδρος απο της οσφυος αυτου και εως κατω πυρ και απο της οσφυος αυτου υπερανω ως ορασις ηλεκτρου
Latin: et vidi et ecce similitudo quasi aspectus ignis ab aspectu lumborum eius et deorsum ignis et a lumbis eius et sursum quasi aspectus splendoris ut visio electri
Wycliffe: And Y siy, and lo! a licnesse as the biholdyng of fier; fro the biholding of hise leendis and bynethe was fier, and fro hise leendis and aboue was as the biholdyng of schynyng, as the siyt of electre.
8. Electrons
Electrons were named in 1600 by English scientist William Gilbert from the new Latin word
"electrica" ≈ "amber".
9. Benjamin Franklin
Benjamin Franklin did scientific experiments with electricity, lightning, etc., in the 1700's.
His theory was essentially correct and he established the naming conventions for "negative" and "positive" charge and "electricity" flows from "positive" to "negative". The next century, it was discovered that electrons actually carry the charge and move in the opposite direction, but the convention had already been established.
10. Faraday
Faraday did a lot of work with electricity and magnetism in the 1800's, as did Maxwell which resulted in his famous equations.
11. Einstein
Einstein used Maxwell's equations (as did others) to derive some results that did not make sense. Einstein was able to see how to resolve those details by changing how one thinks about time and space.
Einstein work with electrons (and atomic particles) resulted in an understanding of Brownian motion (and atomic particles), the quantum nature of reality (photo-electric effect), etc.
Back to the electron.
12. Electron orbits and empty space
From grade school and after, we are taught that electrons orbit around a nucleus. And that is a model that allows us to think about and discuss atomic structures. But how accurate is that model?
A simple model for hydrogen has one proton in the nucleus and one electron in the orbitals. Let us assume that the model is accurate. The following questions arise.
How big is the nucleus?
How big is the electron?
How far is the electron from the nucleus?
13. Details
The nucleus radius was first discovered/deduced by Ernest Rutherford in 1911 from the famous gold foil experiment done in 1909.
The electron radius is as close can be to what mathematics calls a point - no (measurable) thickness.
The orbit radius (ground state, lowest energy level) is named the Bohr radius after Neils Bohr and his Bohr model of the atom.
14. Atomic orbits

Richard Feynman was one of the top physics personalities of his time, after Albert Einstein and before Steven Hawking.
Shortly after electrons were discovered it was thought that atoms were like little solar systems, made up of a … nucleus and electrons, which went around in “orbits,” much like the planets … around the sun. If you think that’s the way atoms are, then you’re back in 1910. (From his book on
QED).
The orbit model is a nice way to think of and work with atoms, as long as one does not take the model literally.
15. Point particle
Does mathematics exist in reality or just in the mind? A point has no dimensions.
An electron approximates a point particle and no substructure has ever been detected.
The ratio of the electron to proton mass has been measured to be about
1/1836.
But what of the distance of the electron from the proton nucleus, in an approximate sense?
16. Measurements
Here are the (approximate) accepted and measured values, using scientific notation.
nucleus radius: 1.75x10-15 meters
electron radius: point
orbit radius: 5.29x10-11 meters
The ratio of the orbit radius to the nucleus orbit is as follows.
5,29x10
11 / 1.75x10
15
≈ 3.02x10
4
= 30,020
≈ 30,000
So the orbital radius is about 30,000 times greater than the nucleus radius.
How can we visualize this?
17. Football field analogy
Consider a football field that is 100 yards long (excluding the end zones). The playing area, 100 yards, is about 91.44 meters which 91,440 millimeters which is about 90,000 millimeters.
Consider half the field at field at 45.72 meters or 45,720 millimeters.
So if the football field were the orbit radius, the nucleus would have a radius of about 45,720 / 30,000 = 1.52 mm or about 1.5 mm.
1.52 mm is about the radius of the head of a pin. Do you see the pin head?
18. Empty space
In this case, the red dot at the center is 6 inches in diameter, or about 152 mm. So the area of that red dot is
(152 * 152) / (1.52 * 1.52) = 100 * 100 = 10,000
time bigger (in area) than actual size.
So if a pinhead of radius 1.5 mm were at the midfield at the 50 yard line, the outer orbit would be at the goal lines.
This would imply that most of what we call solid space is actually mostly empty space.
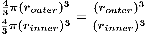
The volume of a sphere of radius
r is as follows.
19. Empty space
If the nucleus is considered solid and the space between the nucleus is empty, then, using the above formula, the ratio of empty space to solid space is the following.
So, since the ratio of orbit radius to nuclear radius is about
30,000 to
1, the ratio of orbit volume to nuclear volume is the following.

20. Consequence
So, if you claim that a table is solid and I claim that it is empty space, then, according to the model, my claim would be 27 trillion times more accurate than your claim.
So, in daily life, what we consider to be solid is actually empty space. What is the reality here?
Why do we not fall though the floor? Answer: The electrostatic forces repelling us from the floor are much greater than the gravity force pulling us down to the floor.
21. Probability distributions
Due to factors having to do with the physical reality in which we live, what we know about electrons about the nucleus is more along the lines of a probability distribution rather than exact precise classical locations.
22. Romans 1:20 Invisible
Romans 1:20 For the invisible things of him from the creation of the world are clearly seen, being understood by the things that are made, even his eternal power and Godhead; so that they are without excuse: [kjv]
Electrons (and atoms) are so small that they cannot be seen with the naked eye. One needs an "
electron microscope". They can be detected.
23. Romans 1:20
KJV: For the invisible things of him from the creation of the world are clearly seen, being understood by the things that are made, even his eternal power and Godhead; so that they are without excuse:
Greek: τα γαρ αορατα αυτου απο κτισεως κοσμου τοις ποιημασιν νοουμενα καθοραται η τε αιδιος αυτου δυναμις και θειοτης εις το ειναι αυτους αναπολογητους
Latin: invisibilia enim ipsius a creatura mundi per ea quae facta sunt intellecta conspiciuntur sempiterna quoque eius virtus et divinitas ut sint inexcusabiles
Wycliffe: For the vnuysible thingis of hym, that ben vndurstondun, ben biholdun of the creature of the world, bi tho thingis that ben maad, yhe, and the euerlastynge vertu of hym and the godhed, so that thei mowe not be excusid.
Luther: damit, daß Gottes unsichtbares Wesen, das ist, seine ewige Kraft und Gottheit, wird ersehen, so man des wahrnimmt an den Werken, nämlich an der Schöpfung der Welt, also daß sie keine Entschuldigung haben,
Note that the
KJV (King James Version) word "
clearly seen" is one word in the Greek, "
καθοραται" (above) which comes from the modern Greek word
"καθαρά" (ka-tha-RA) ≈ "clearly" and the modern Greek word
"όραση" (O-ra-see) ≈ "vision, sight" (from a previous verse above).
The modern Greek word
"αόρατος" (a-O-ra-tos) ≈ "not seen, invisible" where the "
α" negates the Greek word for vision or sight.
The Latin word
"invisibilia" ≈ "invisible" is the source of the English word "
invisible".
24. End of page