Send
Close Add comments:
(status displays here)
Got it! This site "creationpie.org" uses cookies. You consent to this by clicking on "Got it!" or by continuing to use this website. Note: This appears on each machine/browser from which this site is accessed.
Electron orbits and empty space
1. Electron orbits and empty space
From grade school and after, we are taught that electrons orbit around a nucleus. And that is a model that allows us to think about and discuss atomic structures. But how accurate is that model?
A simple model for hydrogen has one proton in the nucleus and one electron in the orbitals. Let us assume that the model is accurate. The following questions arise.
How big is the nucleus?
How big is the electron?
How far is the electron from the nucleus?
2. Details
The nucleus radius was first discovered/deduced by Ernest Rutherford in 1911 from the famous gold foil experiment done in 1909.
The electron radius is as close can be to what mathematics calls a point - no (measurable) thickness.
The orbit radius (ground state, lowest energy level) is named the Bohr radius after Neils Bohr and his Bohr model of the atom.
3. Atomic orbits

Richard Feynman was one of the top physics personalities of his time, after Albert Einstein and before Steven Hawking.
Shortly after electrons were discovered it was thought that atoms were like little solar systems, made up of a … nucleus and electrons, which went around in “orbits,” much like the planets … around the sun. If you think that’s the way atoms are, then you’re back in 1910. (From his book on
QED).
The orbit model is a nice way to think of and work with atoms, as long as one does not take the model literally.
4. Point particle
Does mathematics exist in reality or just in the mind? A point has no dimensions.
An electron approximates a point particle and no substructure has ever been detected.
The ratio of the electron to proton mass has been measured to be about
1/1836.
But what of the distance of the electron from the proton nucleus, in an approximate sense?
5. Measurements
Here are the (approximate) accepted and measured values, using scientific notation.
nucleus radius: 1.75x10-15 meters
electron radius: point
orbit radius: 5.29x10-11 meters
The ratio of the orbit radius to the nucleus orbit is as follows.
5,29x10
11 / 1.75x10
15
≈ 3.02x10
4
= 30,020
≈ 30,000
So the orbital radius is about 30,000 times greater than the nucleus radius.
How can we visualize this?
6. Football field analogy
Consider a football field that is 100 yards long (excluding the end zones). The playing area, 100 yards, is about 91.44 meters which 91,440 millimeters which is about 90,000 millimeters.
Consider half the field at field at 45.72 meters or 45,720 millimeters.
So if the football field were the orbit radius, the nucleus would have a radius of about 45,720 / 30,000 = 1.52 mm or about 1.5 mm.
1.52 mm is about the radius of the head of a pin. Do you see the pin head?
7. Empty space
In this case, the red dot at the center is 6 inches in diameter, or about 152 mm. So the area of that red dot is
(152 * 152) / (1.52 * 1.52) = 100 * 100 = 10,000
time bigger (in area) than actual size.
So if a pinhead of radius 1.5 mm were at the midfield at the 50 yard line, the outer orbit would be at the goal lines.
This would imply that most of what we call solid space is actually mostly empty space.
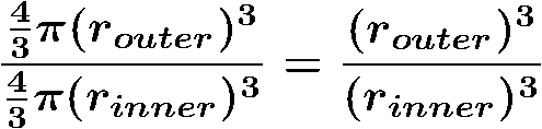
The volume of a sphere of radius
r is as follows.
8. Empty space
If the nucleus is considered solid and the space between the nucleus is empty, then, using the above formula, the ratio of empty space to solid space is the following.
So, since the ratio of orbit radius to nuclear radius is about
30,000 to
1, the ratio of orbit volume to nuclear volume is the following.

9. Consequence
So, if you claim that a table is solid and I claim that it is empty space, then, according to the model, my claim would be 27 trillion times more accurate than your claim.
So, in daily life, what we consider to be solid is actually empty space. What is the reality here?
Why do we not fall though the floor? Answer: The electrostatic forces repelling us from the floor are much greater than the gravity force pulling us down to the floor.
10. End of page