Send
Close Add comments:
(status displays here)
Got it! This site "creationpie.org" uses cookies. You consent to this by clicking on "Got it!" or by continuing to use this website. Note: This appears on each machine/browser from which this site is accessed.
Polynomial equations
1. Polynomial equations
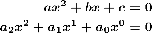
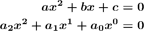
2. The quadratic equation
Do you remember the quadratic equation? Groans, right?

Do you remember the solution? More groans, right?
3. Solution
Here is the solution. Does it look familiar?

What are the general cases?
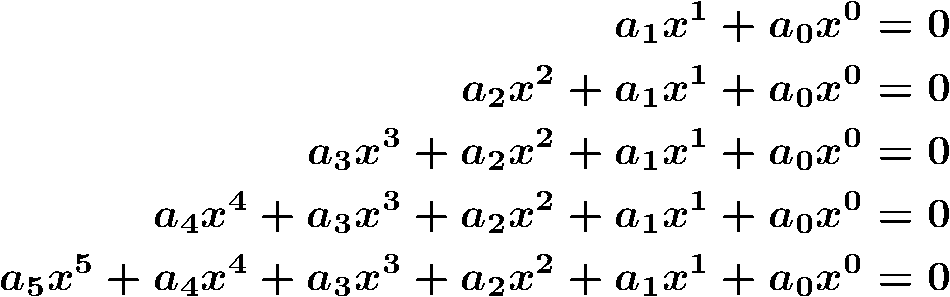
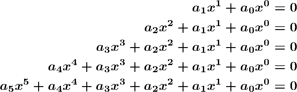
4. General cases
Consider the polynomial equation of degree 5.

There is no known general solution for degree
5 or greater!
5. Impossibility
If it is not pointed out that there is no known general solution for degree 5 or greater, one might be left with the impression that math be used to solve more problems than what is known to be possible.